Each week there will be homework due on WebAssign. The homework will start in the second week, so your first homework is due on Thursday 1/30. There will also be reading questions, due before each lecture (three times a week), and a homework set that is due on Thursday at Midnight.
| HW # | Due Date | Problems | Hints | Solutions |
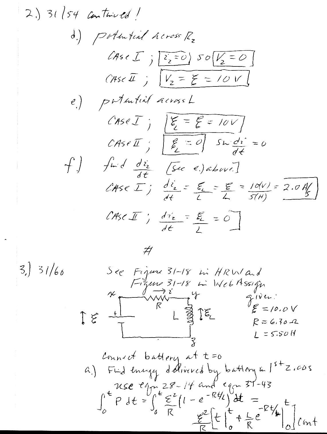
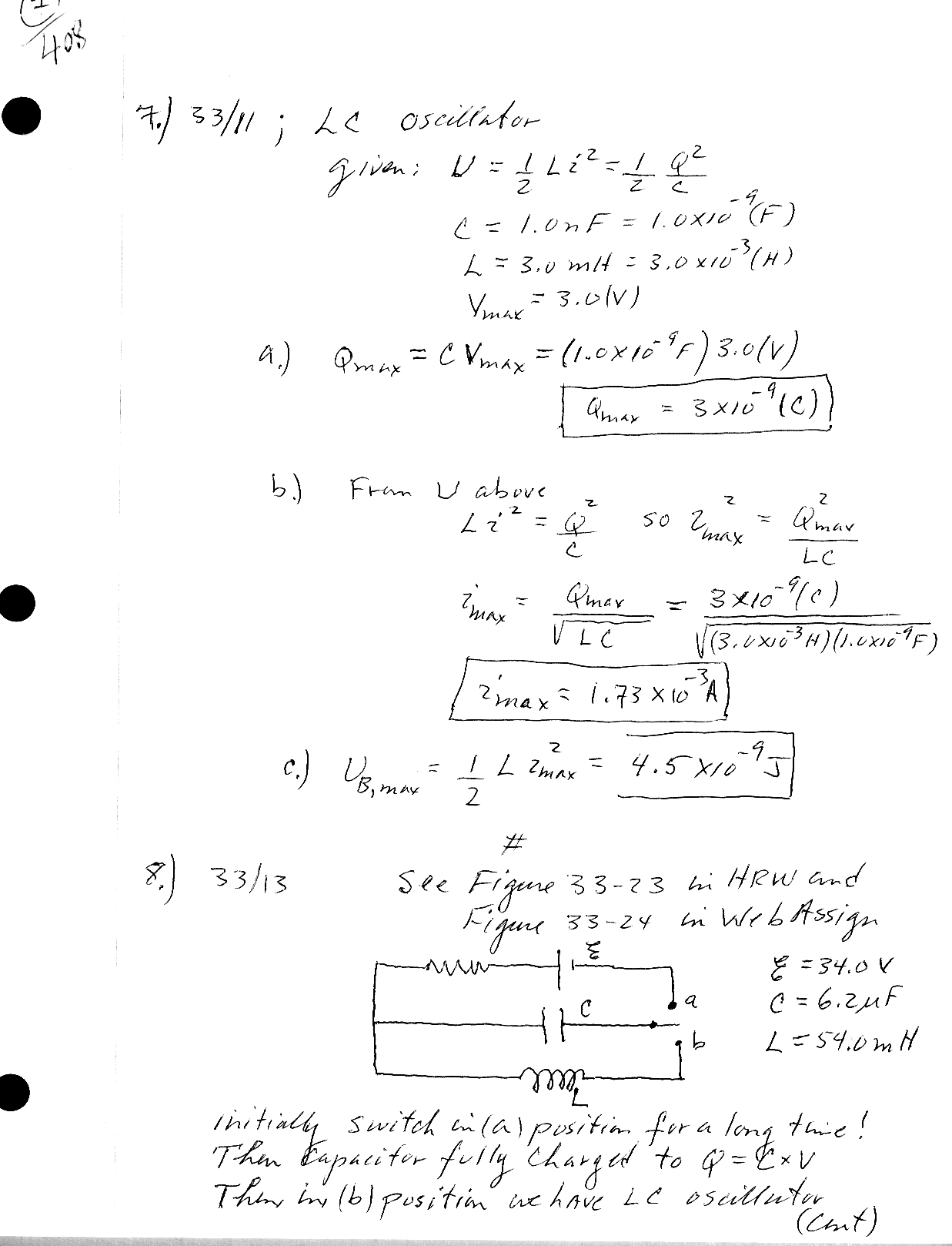
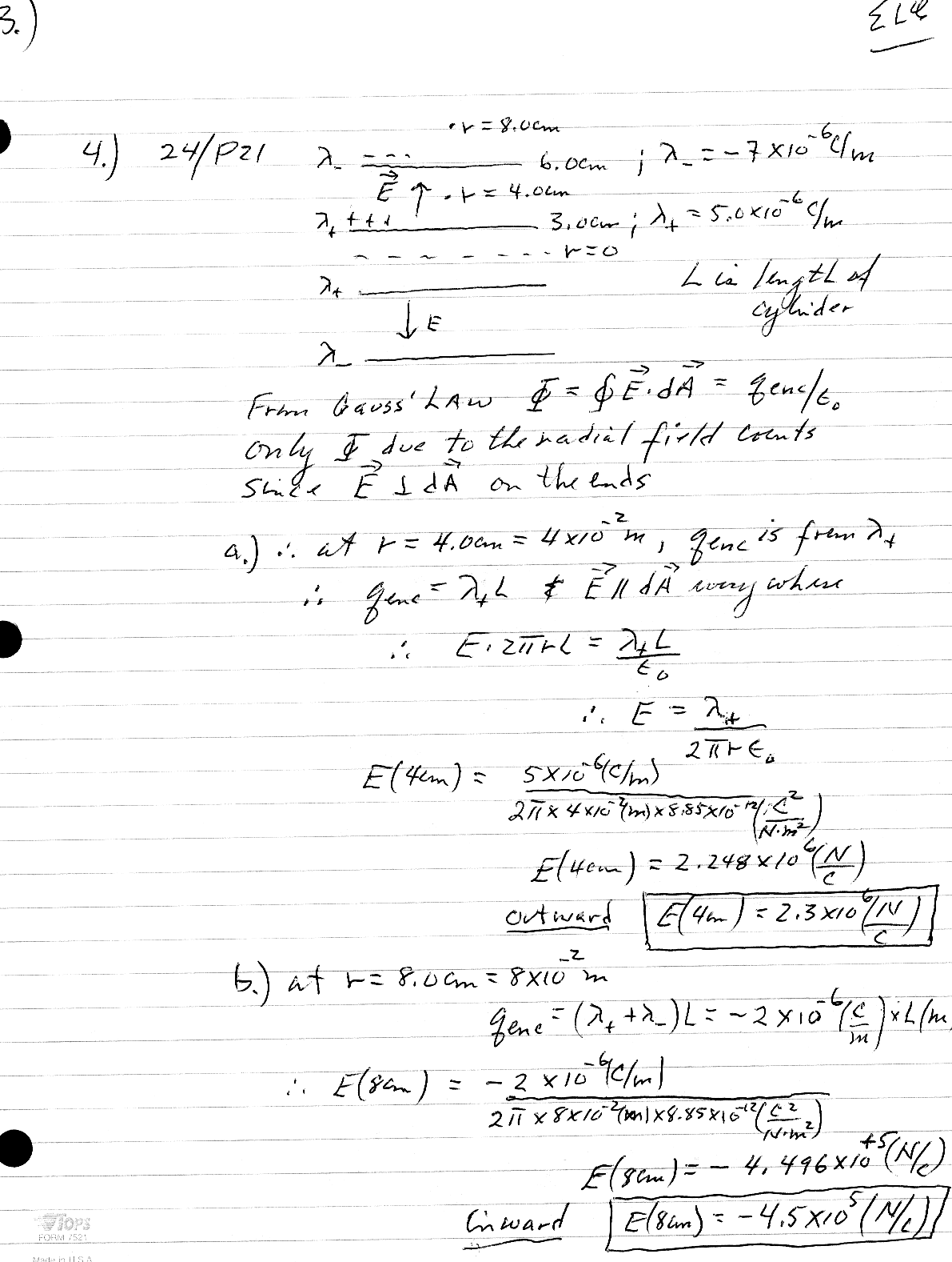
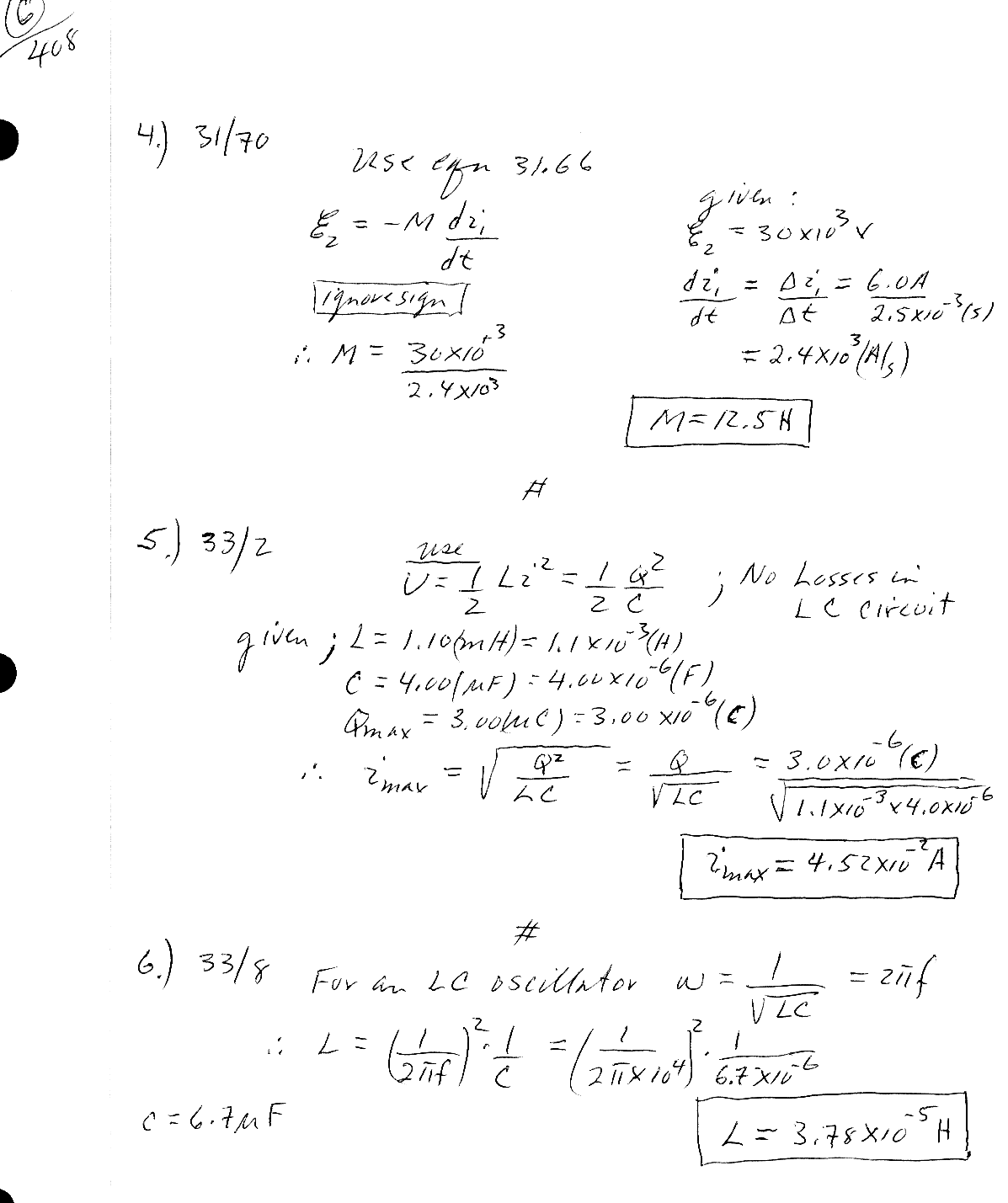
| 14 | May 8 | Ch 31: 53,54,60,70 Ch 33: 2,8,11,13 | P1, P2, P3, P4, P5, P6, P7, P8 | |
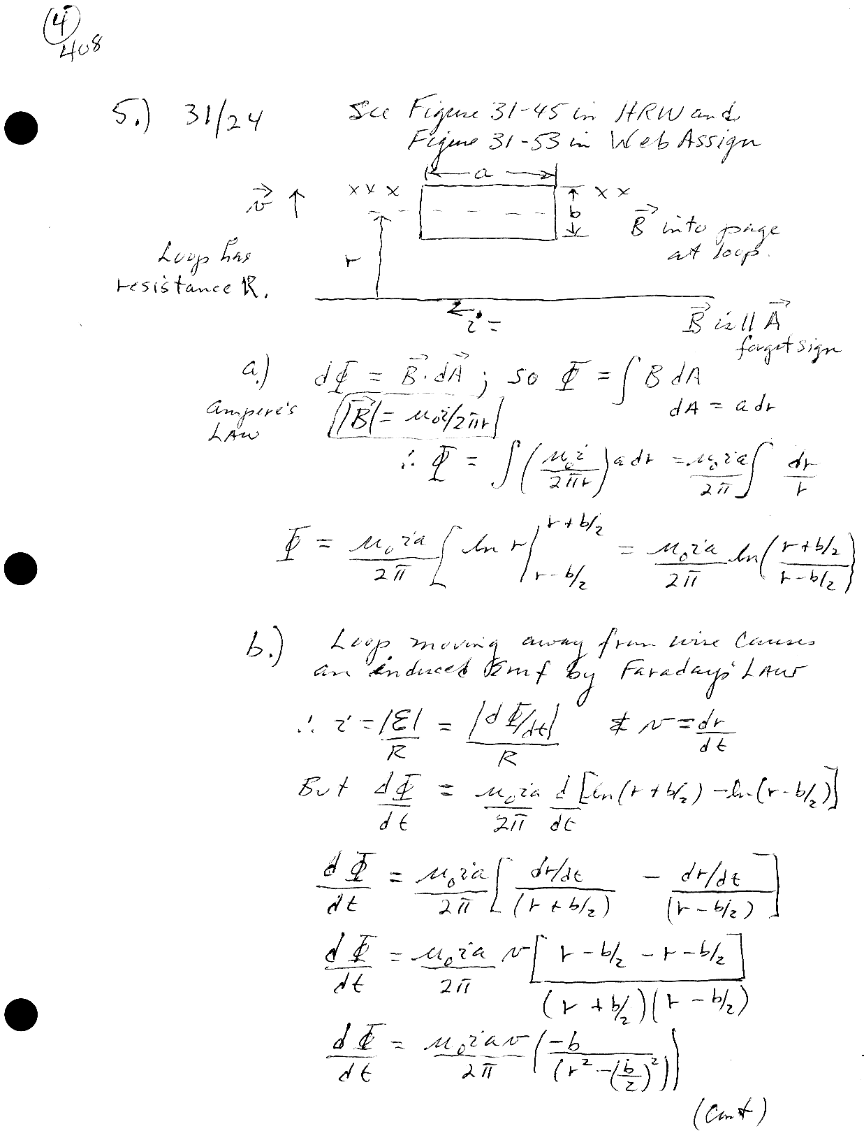
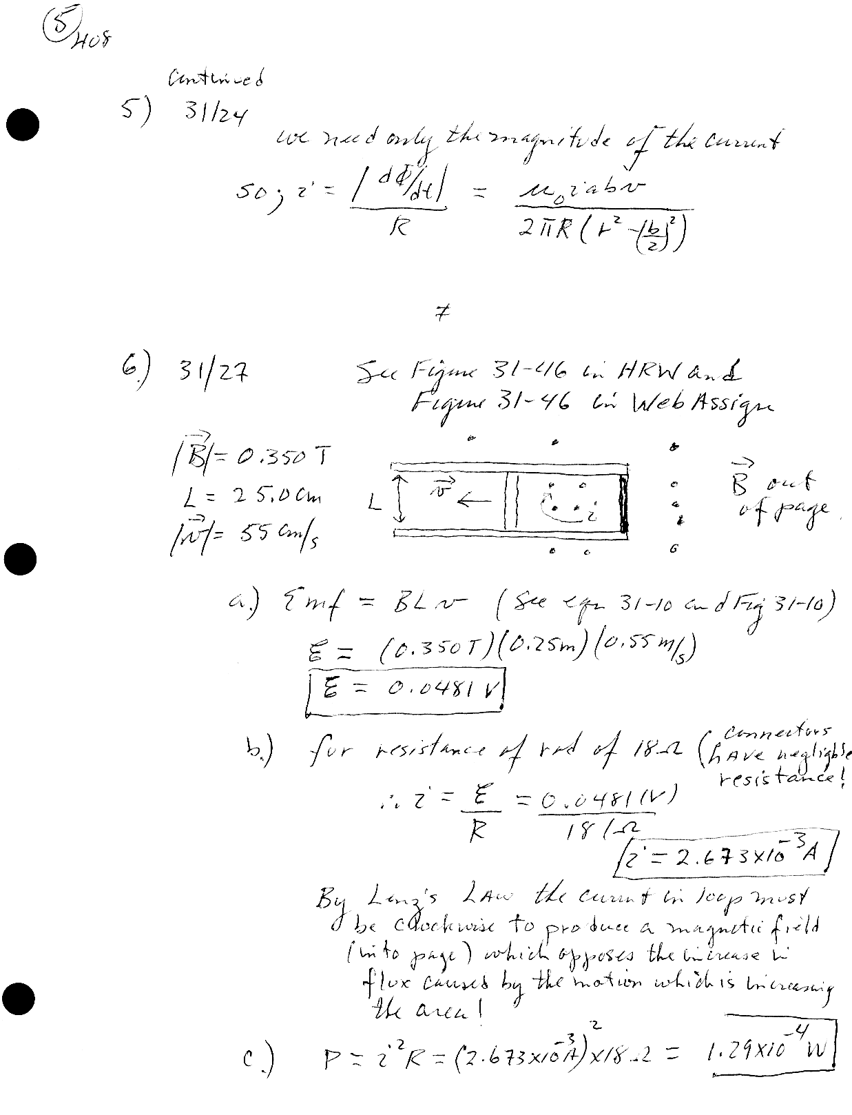
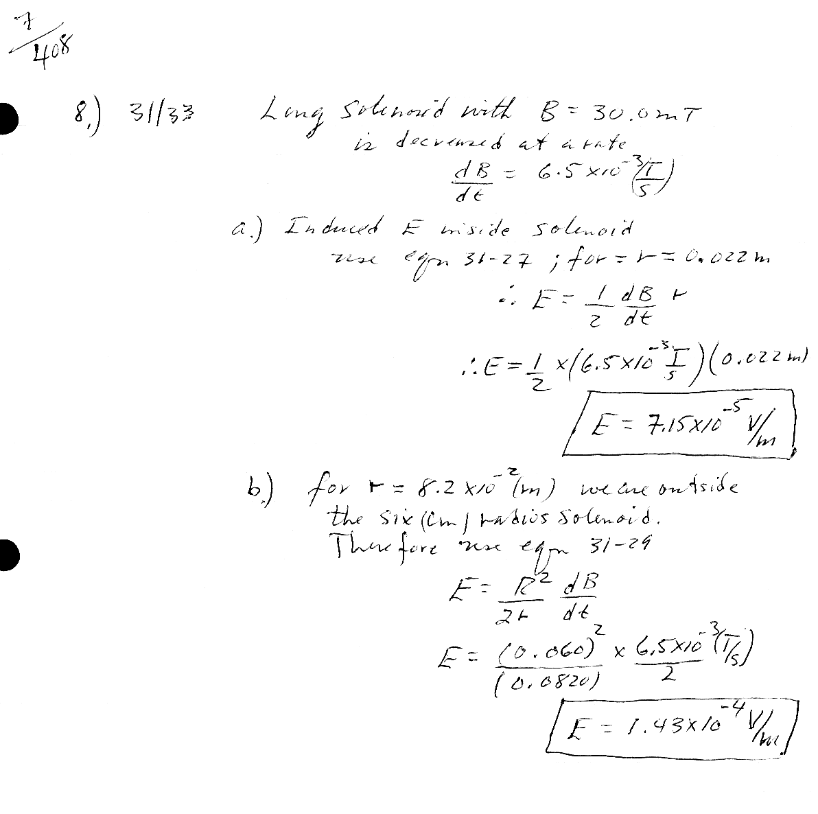
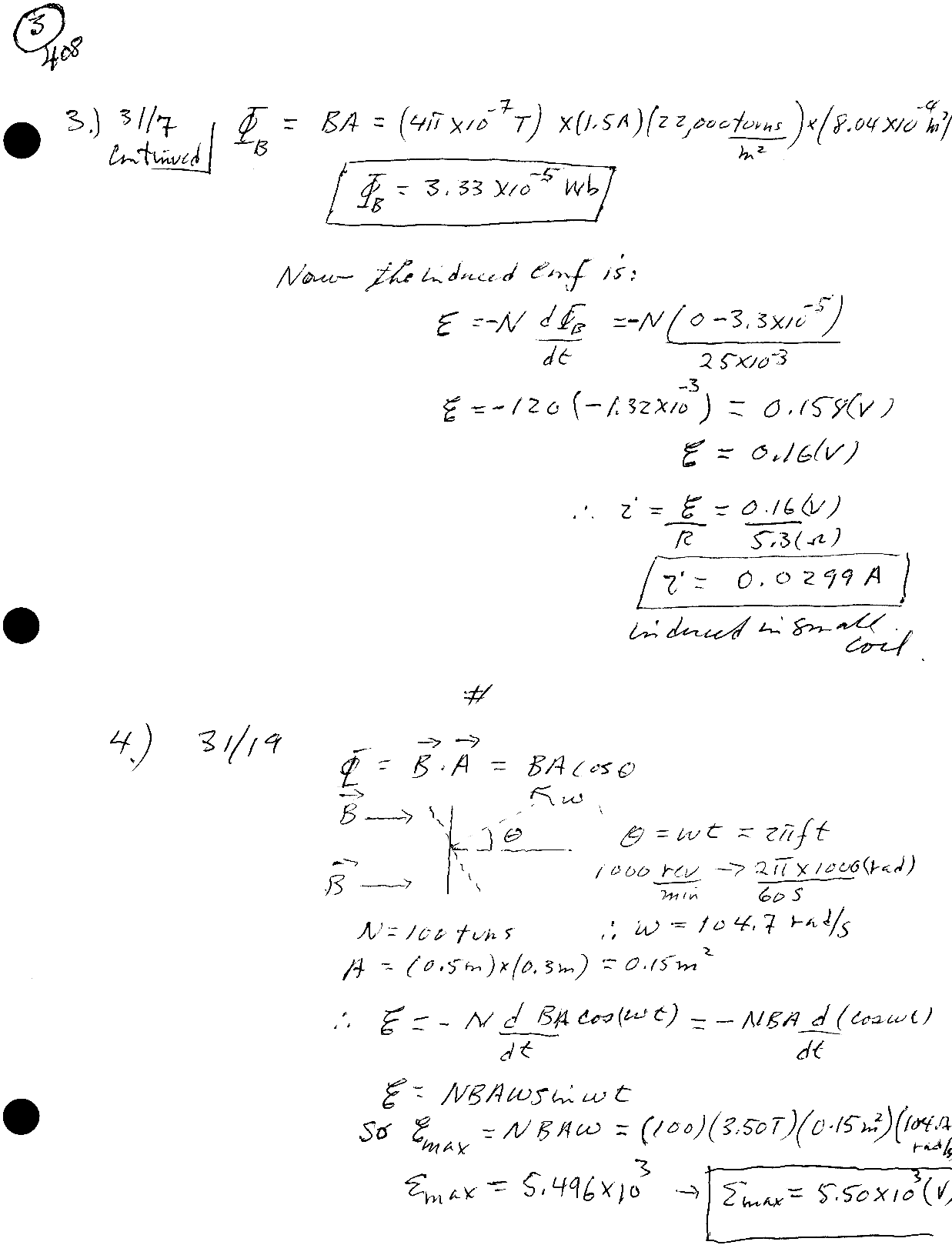
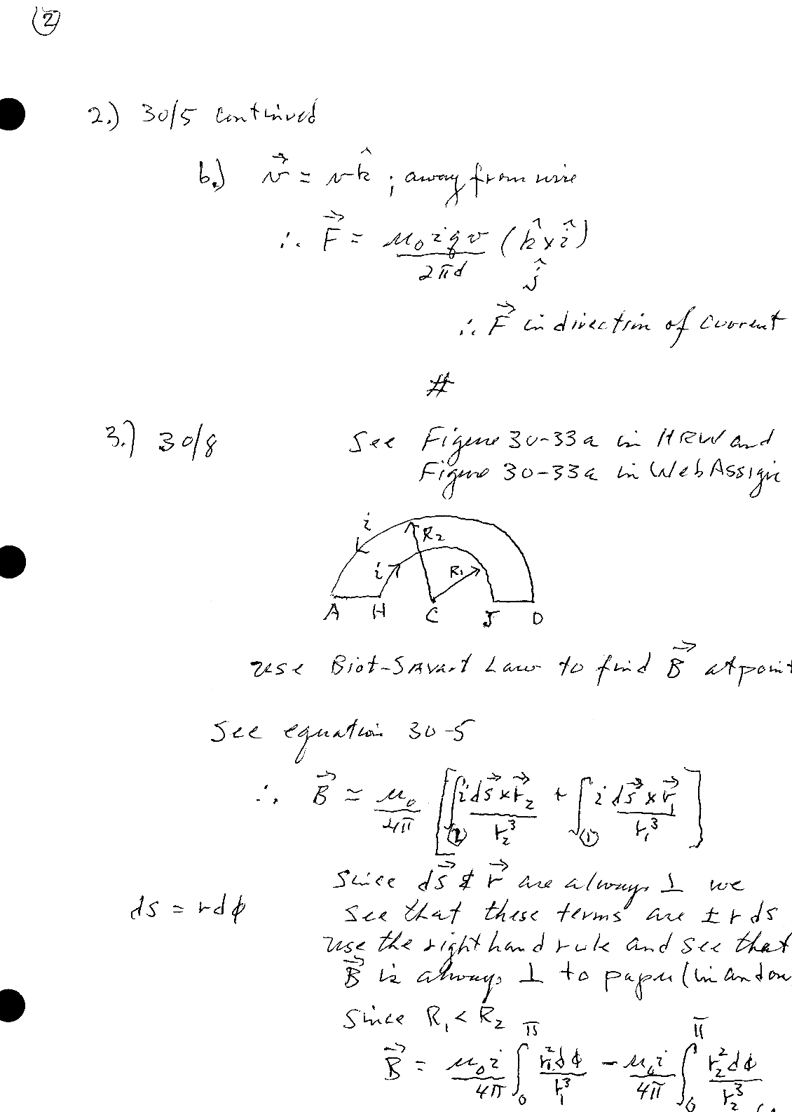
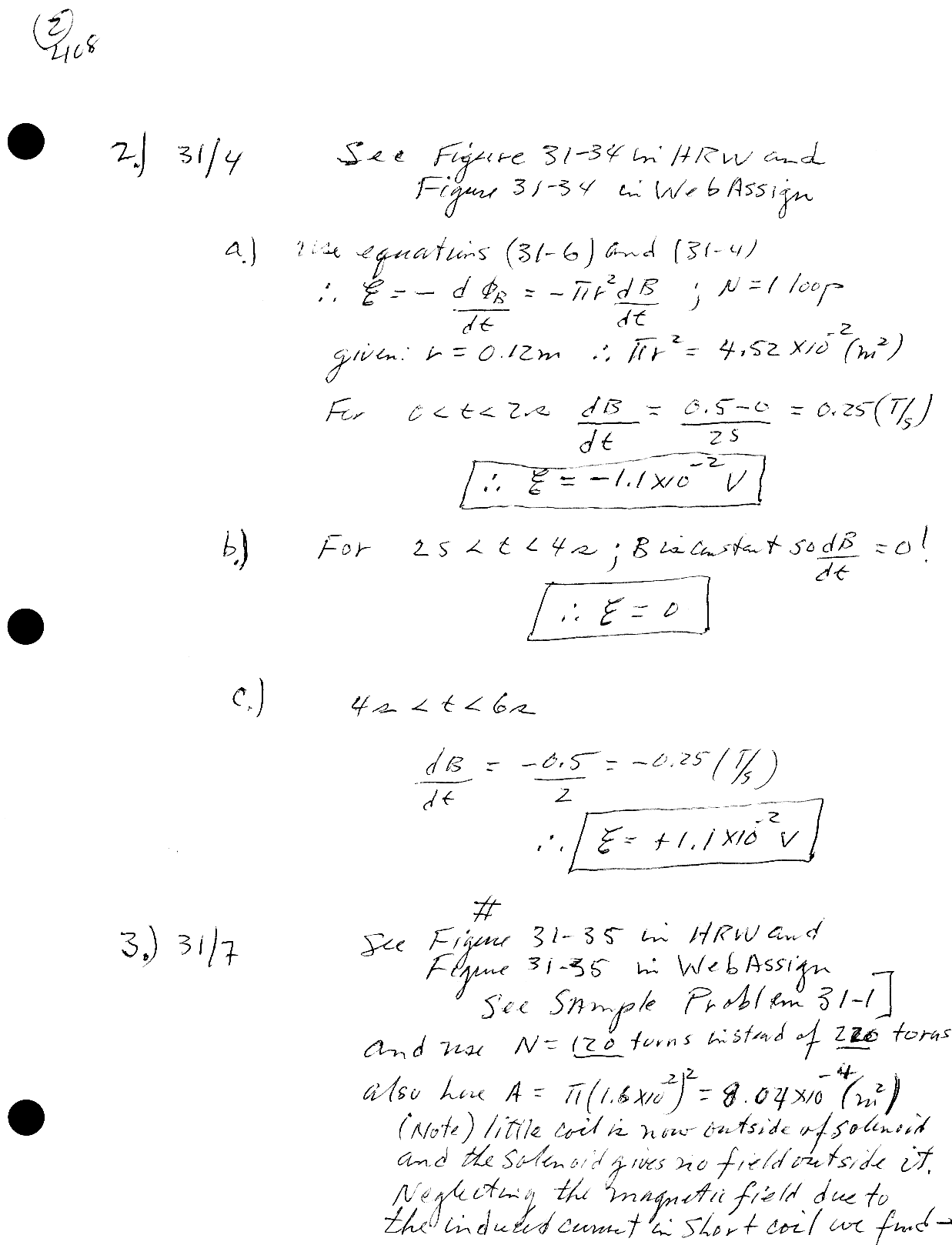
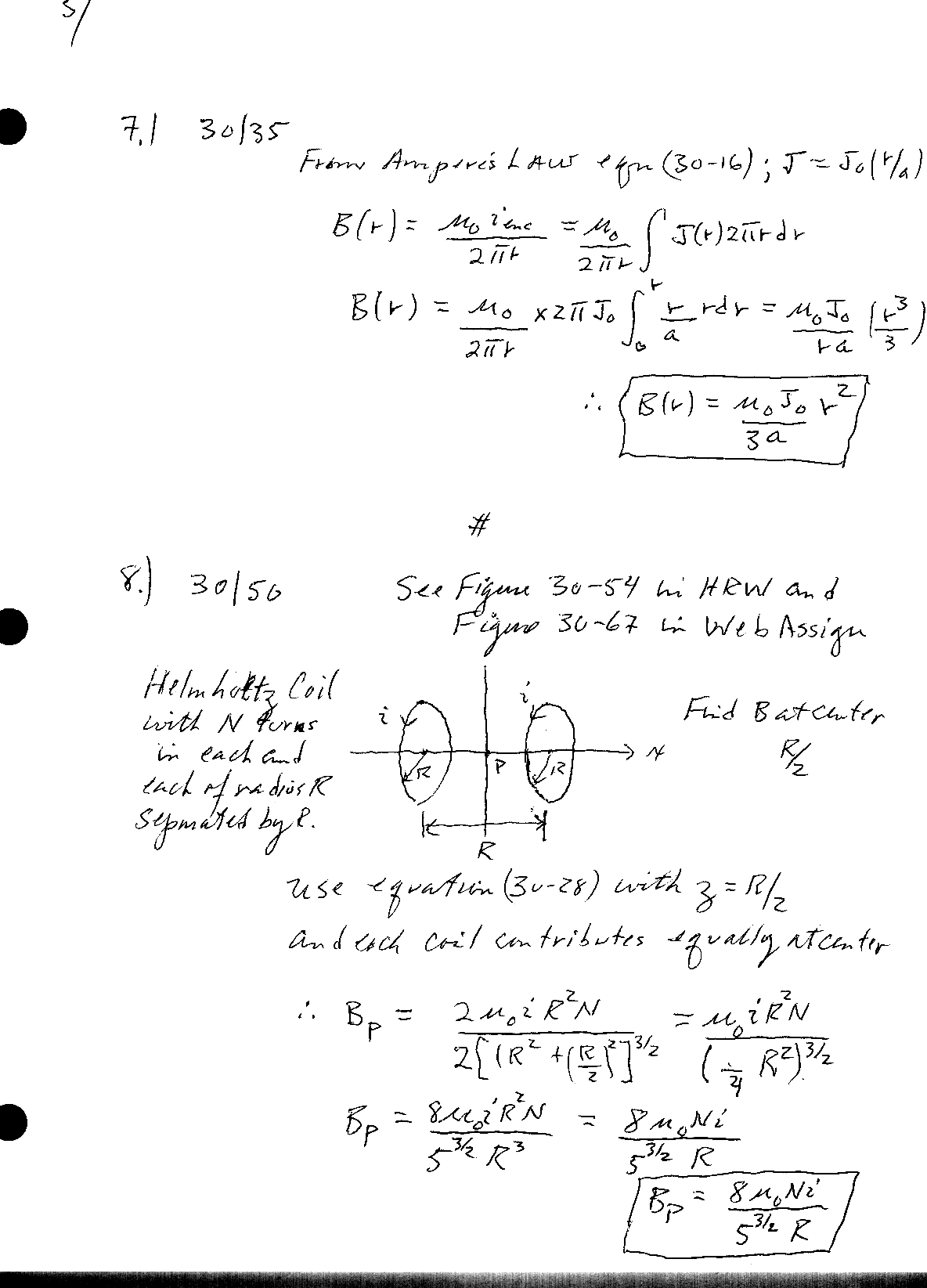
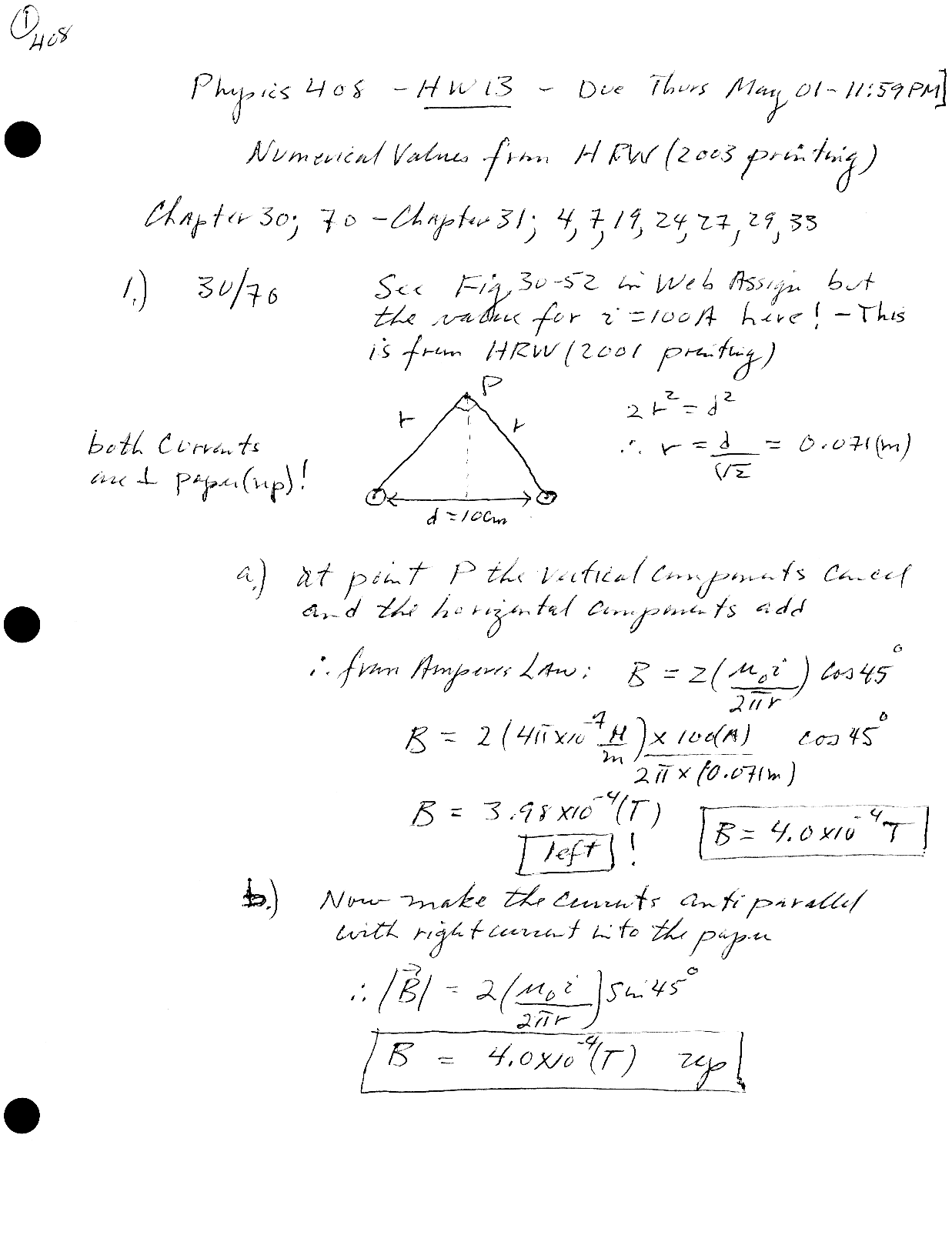
| 13 | May 1 | Ch30:70, Ch31:4,7,19,24,27,29,33 | This homework is a bit challenging. Problem 2: The sign matters! Problem 3: Be careful about units (you want turns/meter), also, what is the flux through the coil? So what area do you use? Problem 5: Work this out! Don't guess. The calculus may seem a little intimidating, but you can do it. Problems 6 and 7 are (almost) identical, but ask slightly different things. Problem 8, NOTE: the second radius is larger than the radius of the solenoid! |
P1, P2, P3, P4, P5, P6, P7 |
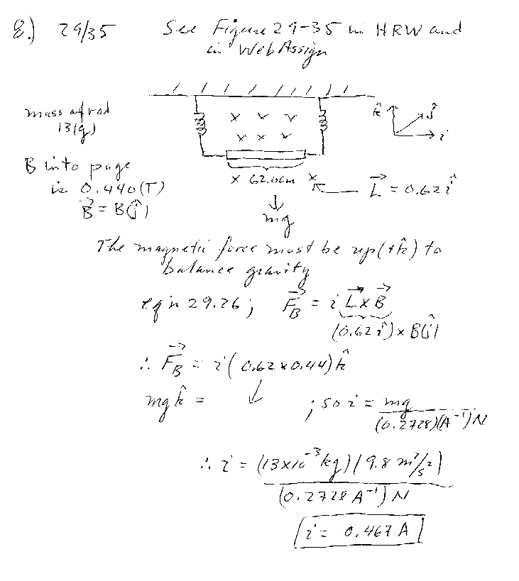
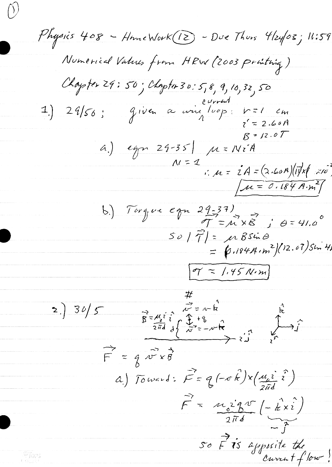
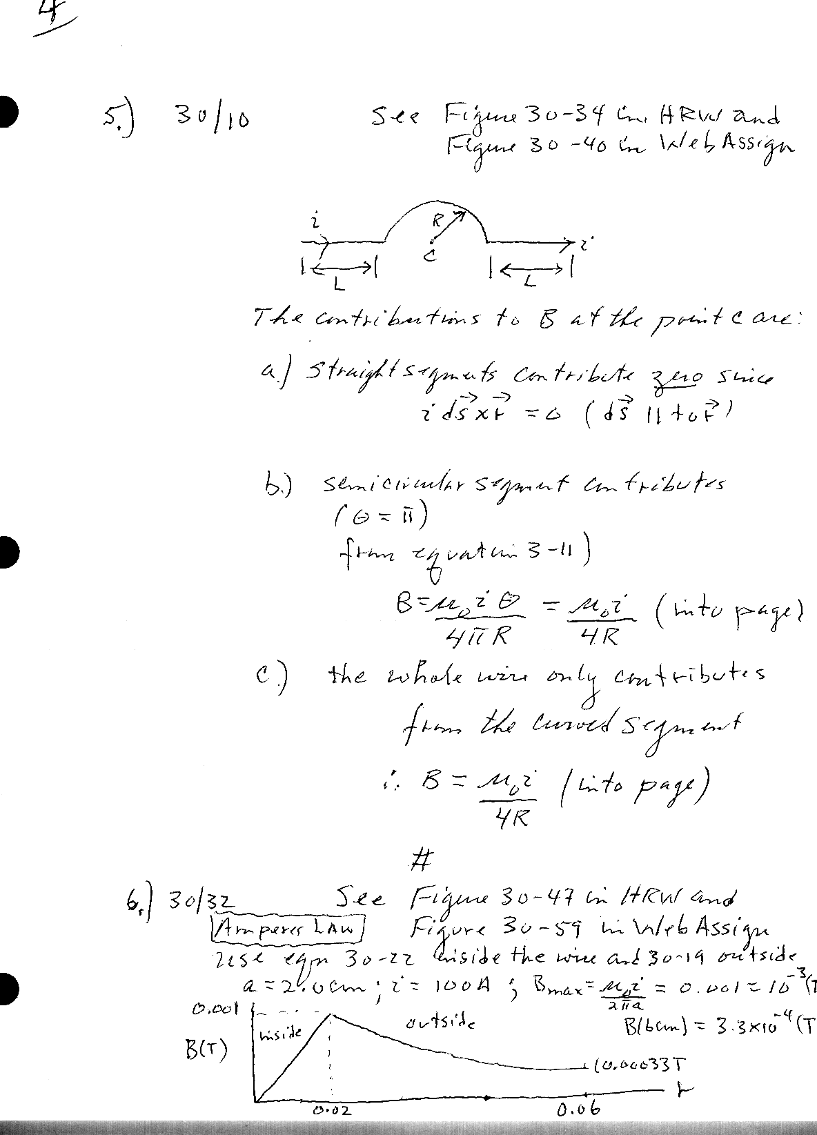
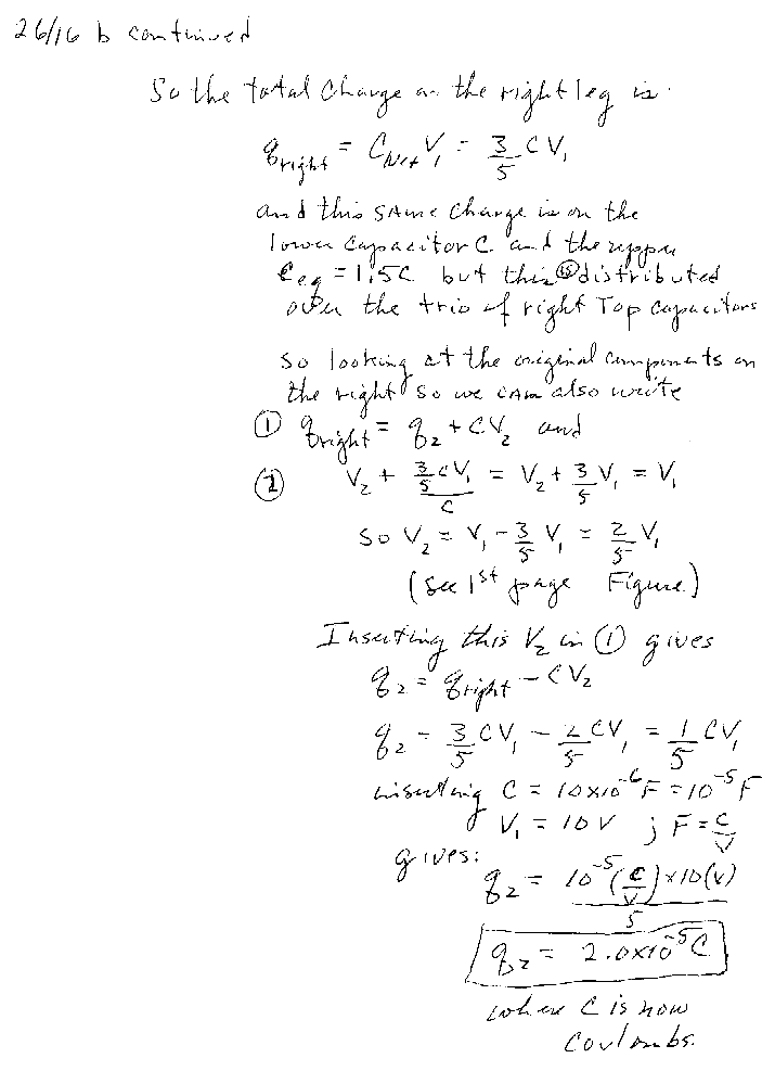
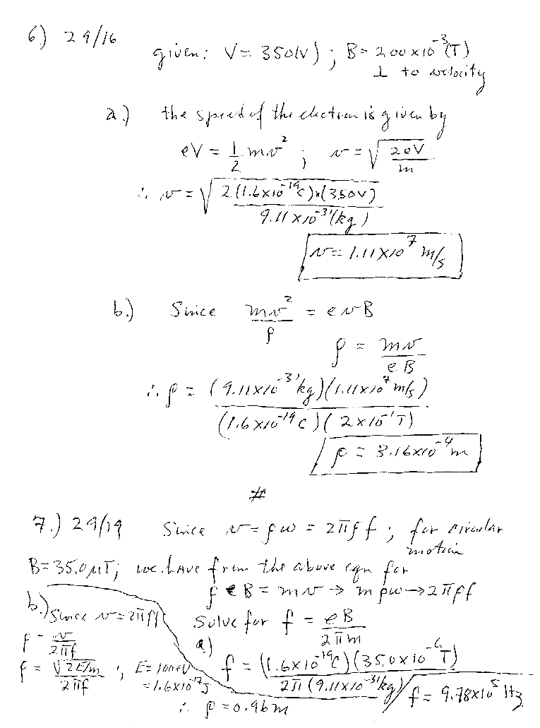
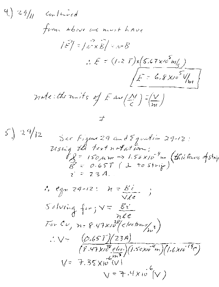
| 12 | April 24 | Ch29:50, Ch 30: 5, 8, 9, 10, 32, 50 | ||
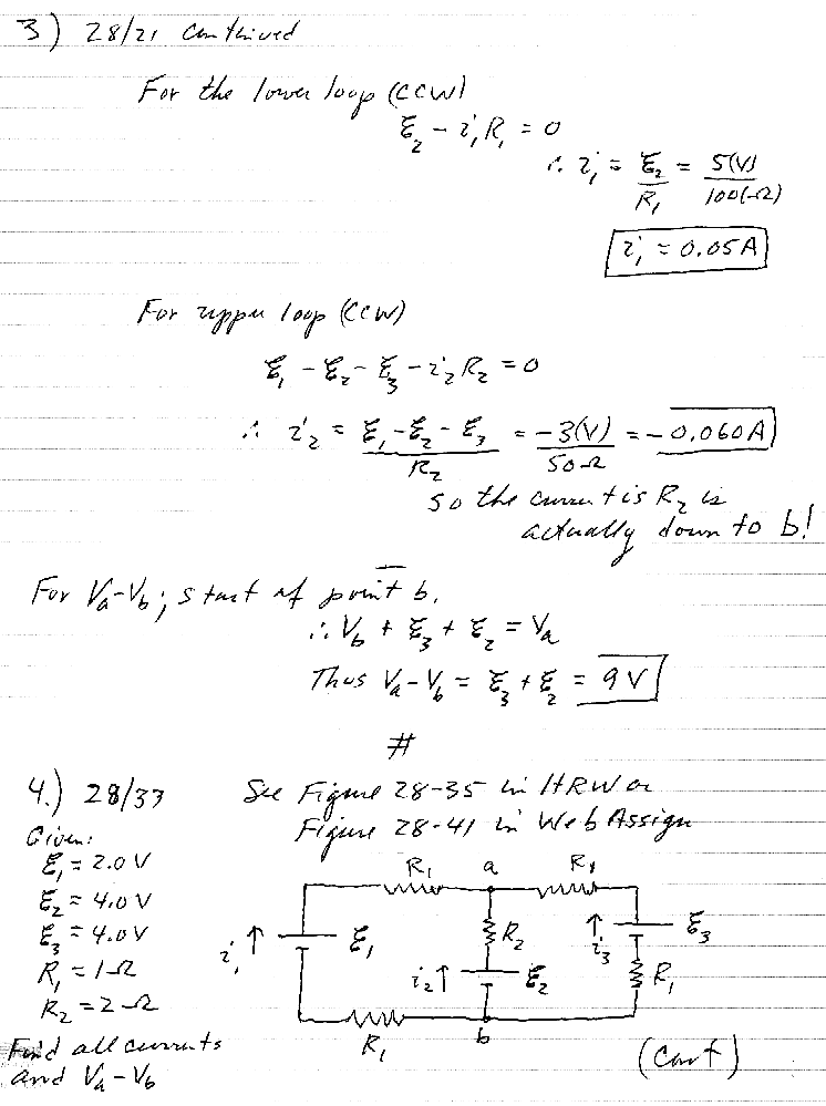
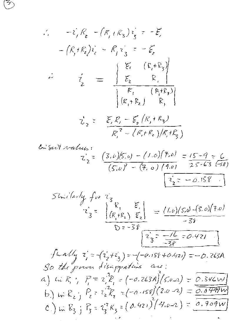
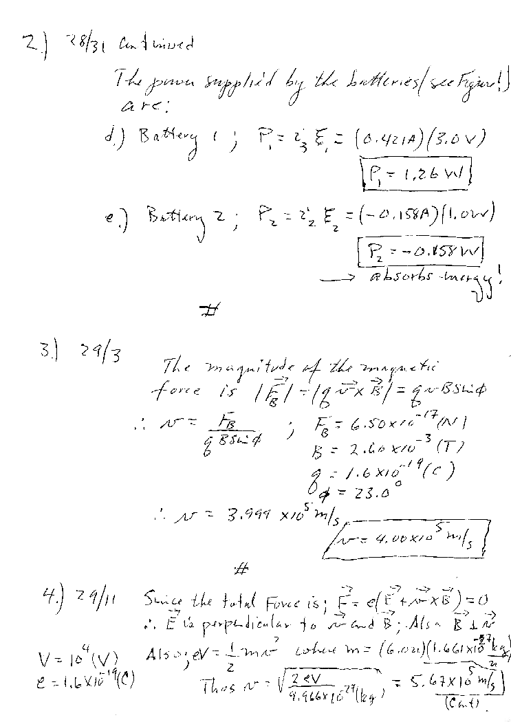
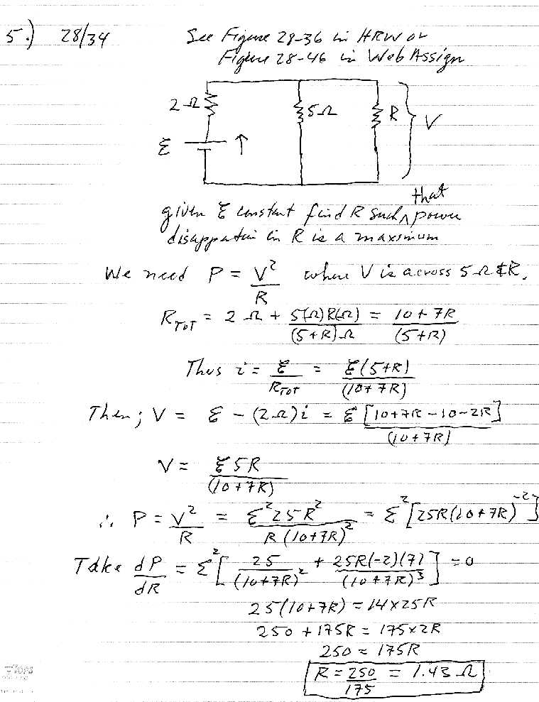
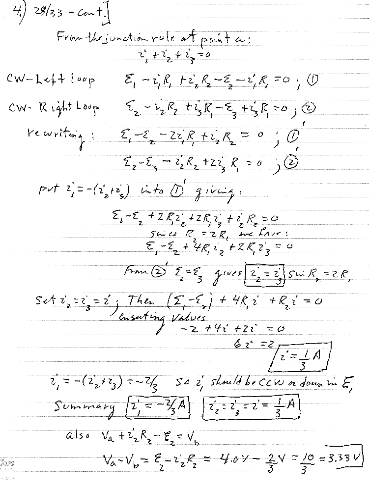
| 11 | April 17 | Ch 28: 26,31 Ch 29: 11,12,16,19,35 | On problem 26, there are 2 ways you can do this. You can use the hint, or you can reduce the resistors step by step. | P1, P2, P3, P4, P5, P6, P7 |
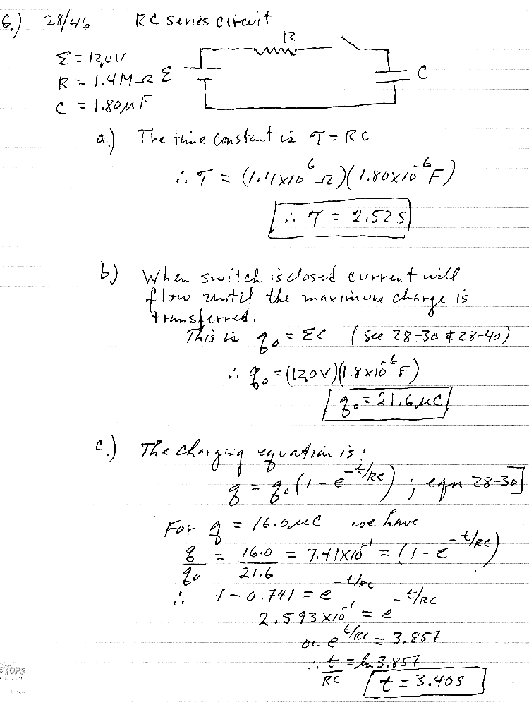
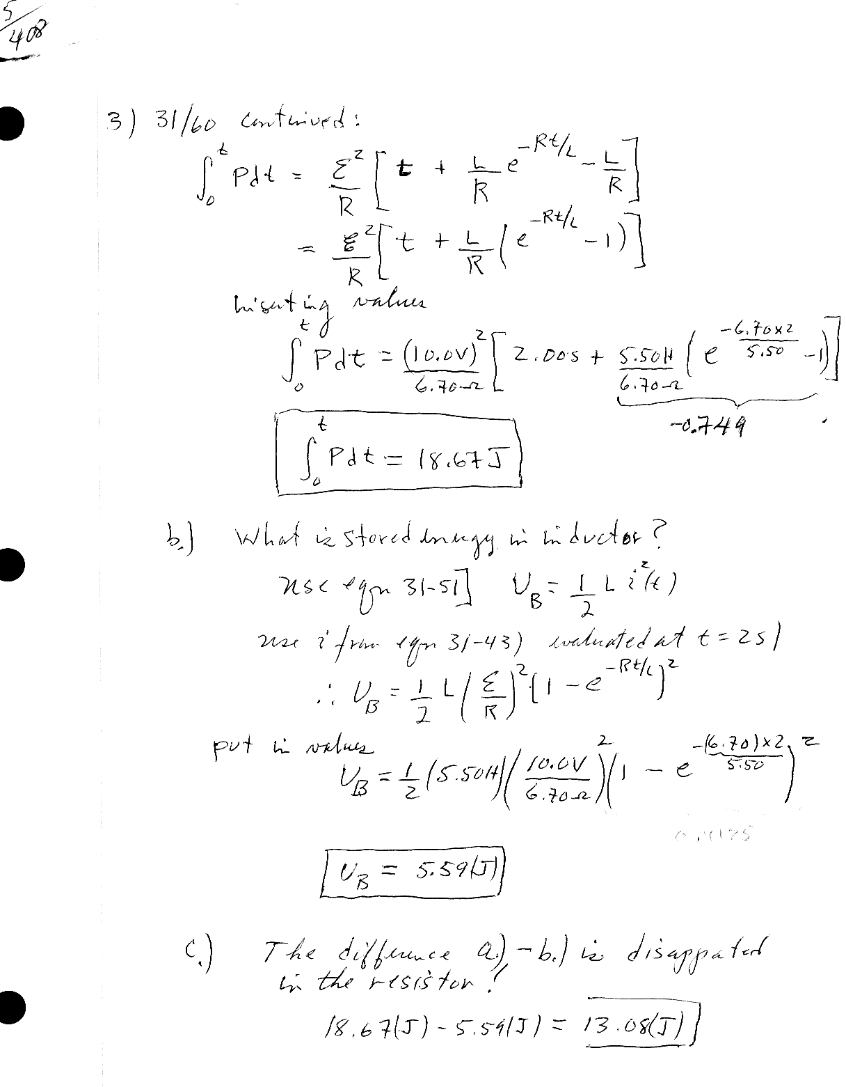
| 10 | April 10 | Ch 28: 4, 10, 21, 33, 34, 46, 55 | On problem 55, at t=0 the capacitor is fully discharged. What is the potential across it then? At t=inf. it is fully charged, what is the potential then? (look carefully at the resistors!) | P1, P2, P3, P4, P5, P6, P7 |
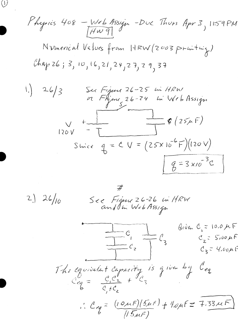
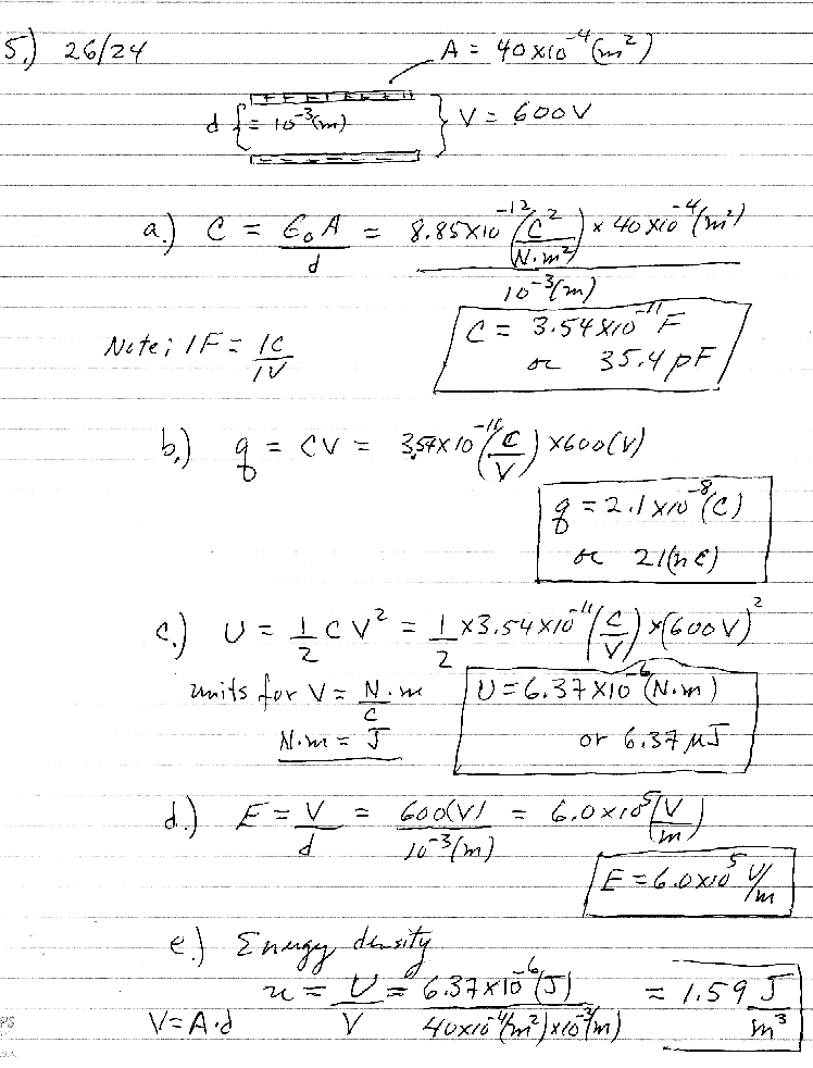
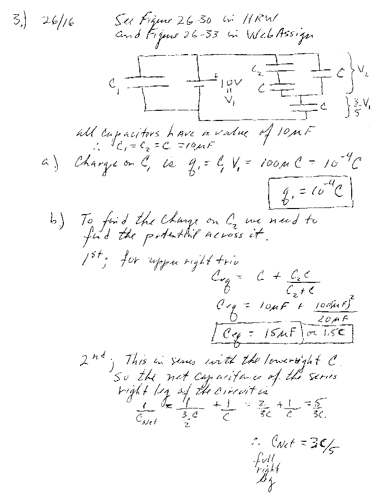
| 9 | April 3 | CH26 P3, 10, 16, 21, 24, 27, 29, 37 | P1, P2, P3, P4, P5, P6, P7 | |
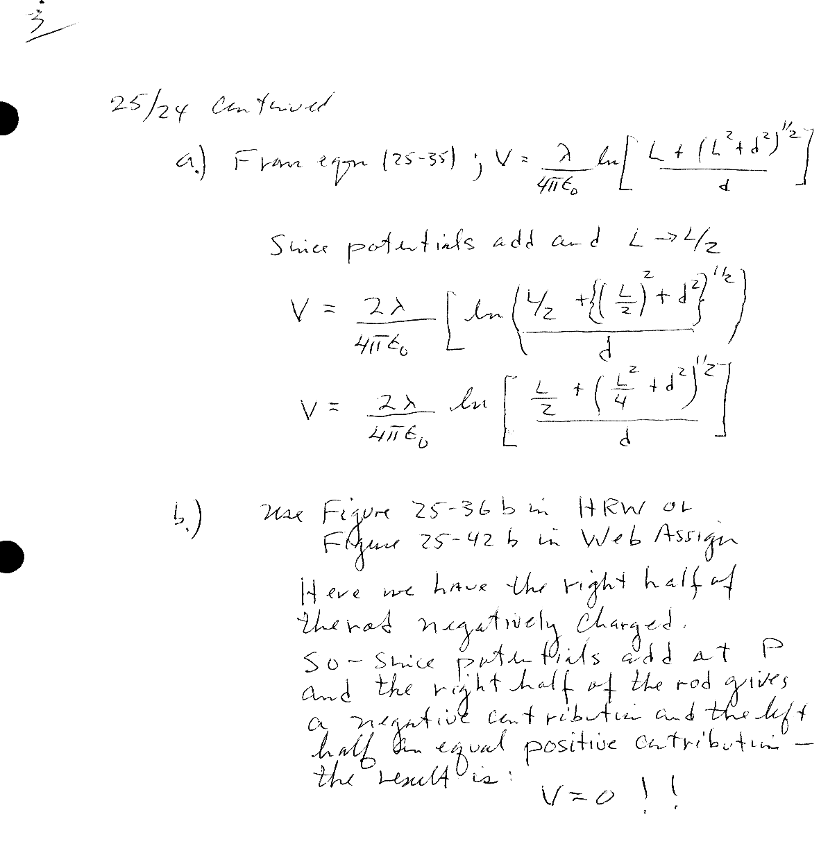
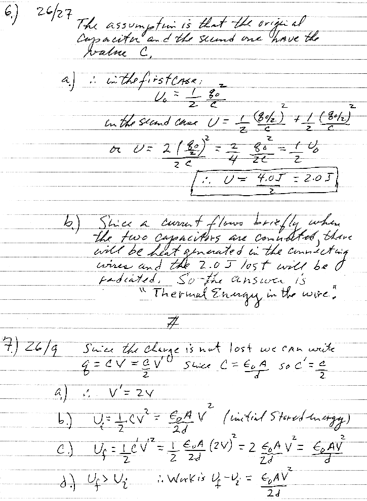
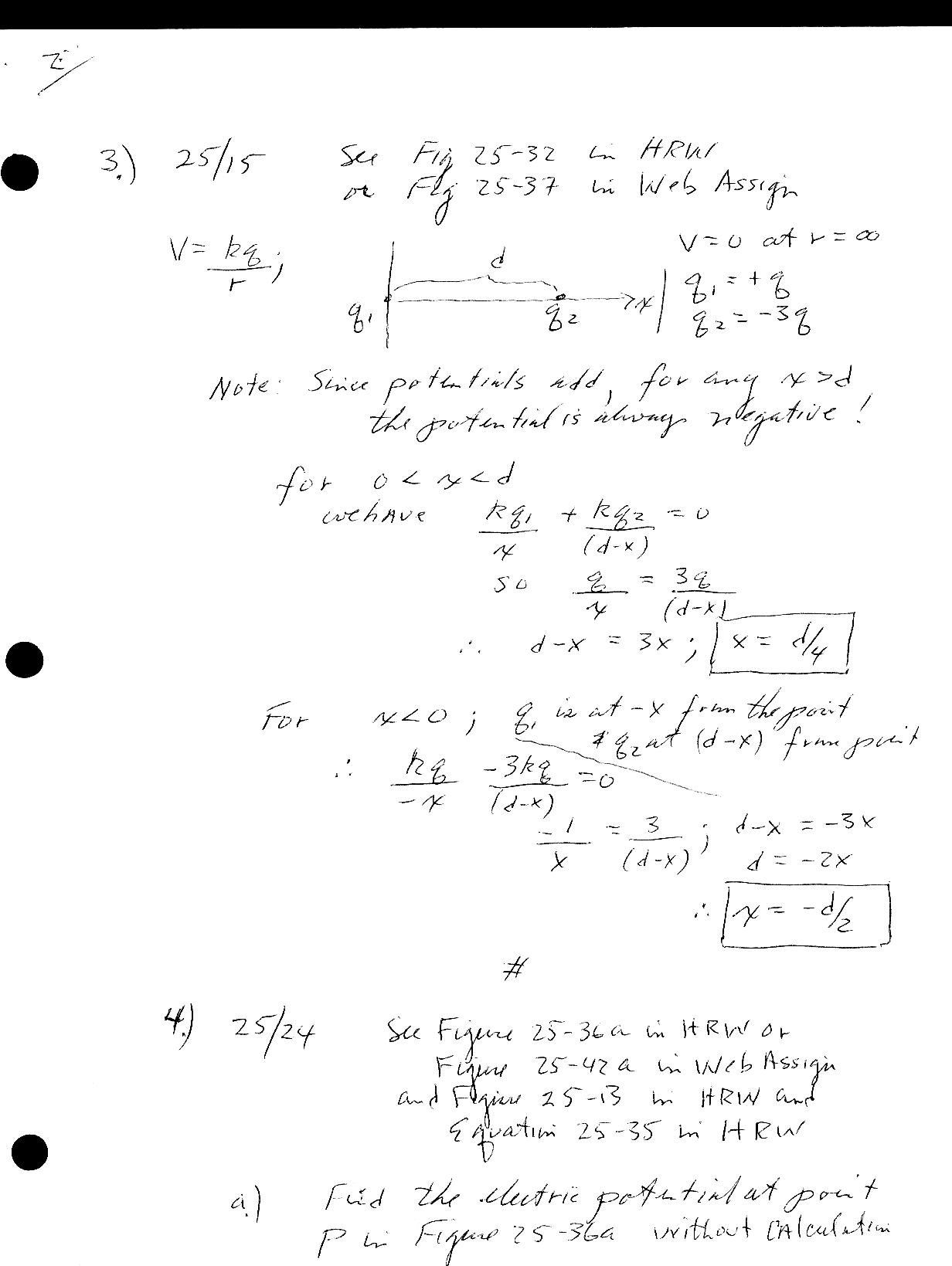
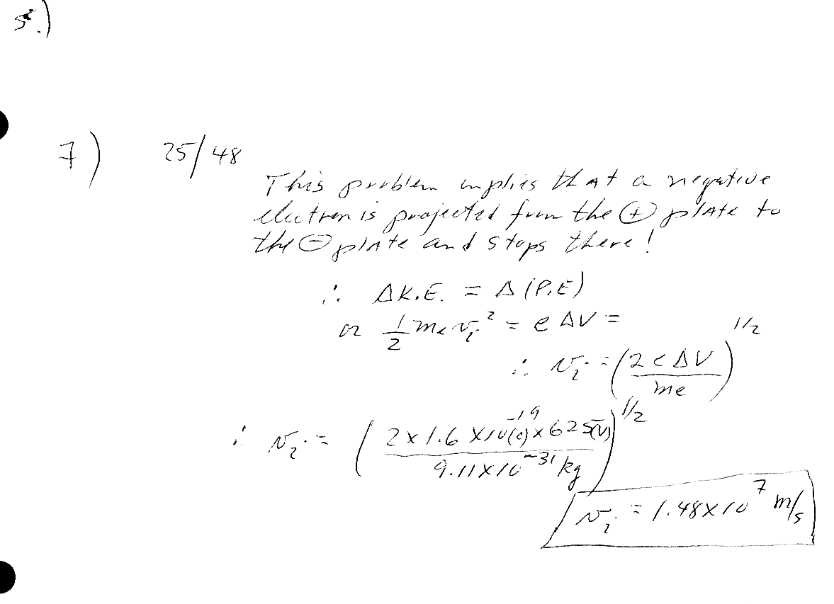
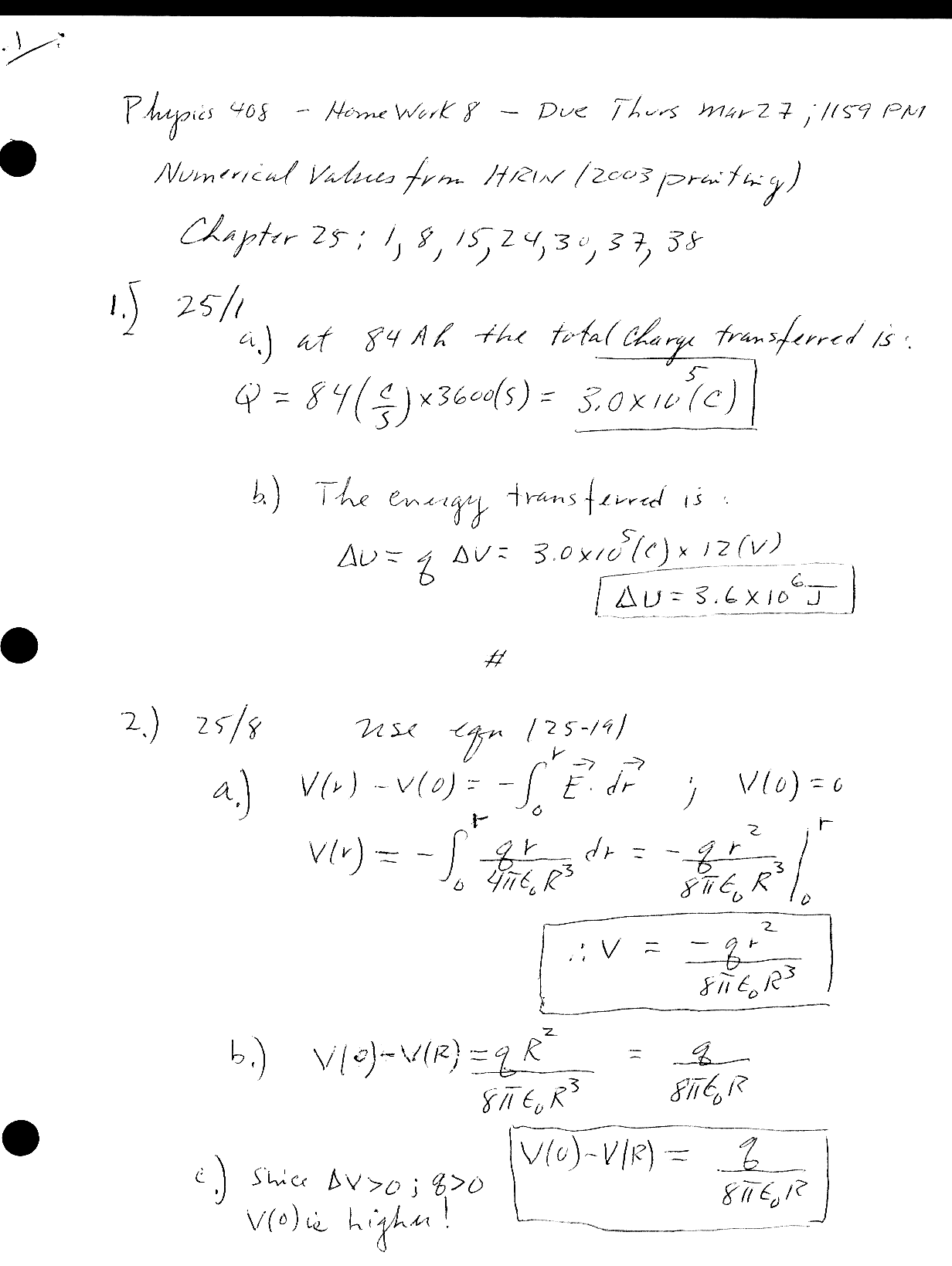
| 8 | March 27 | CH25 P1, 8, 15, 24,30,37,38 | P1, P2, P3, P4, P5 | |
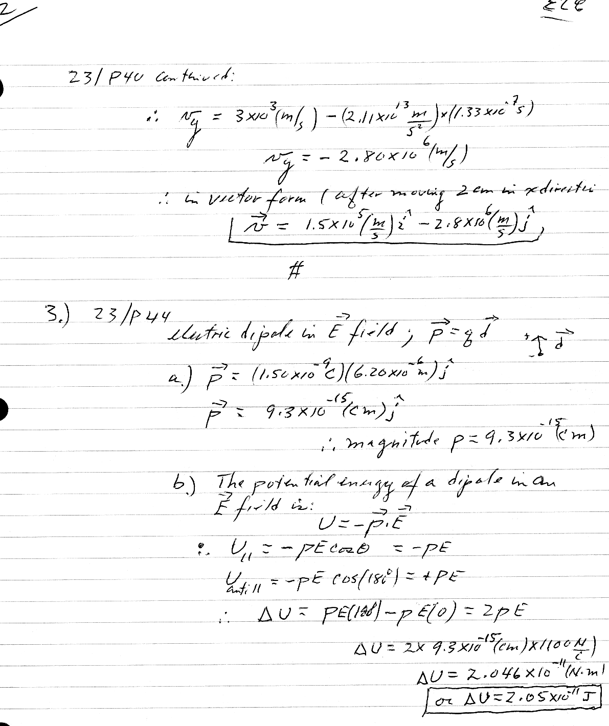
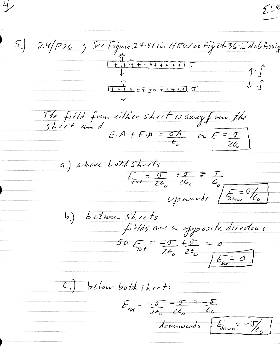
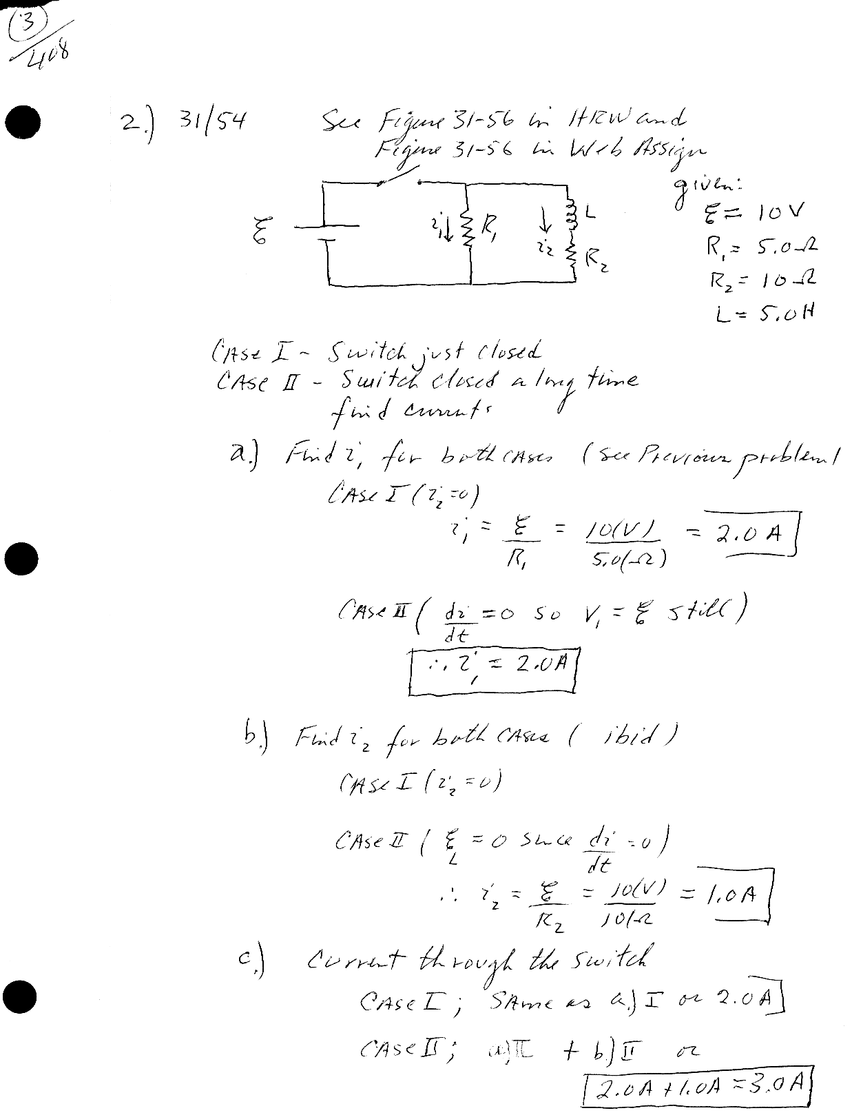
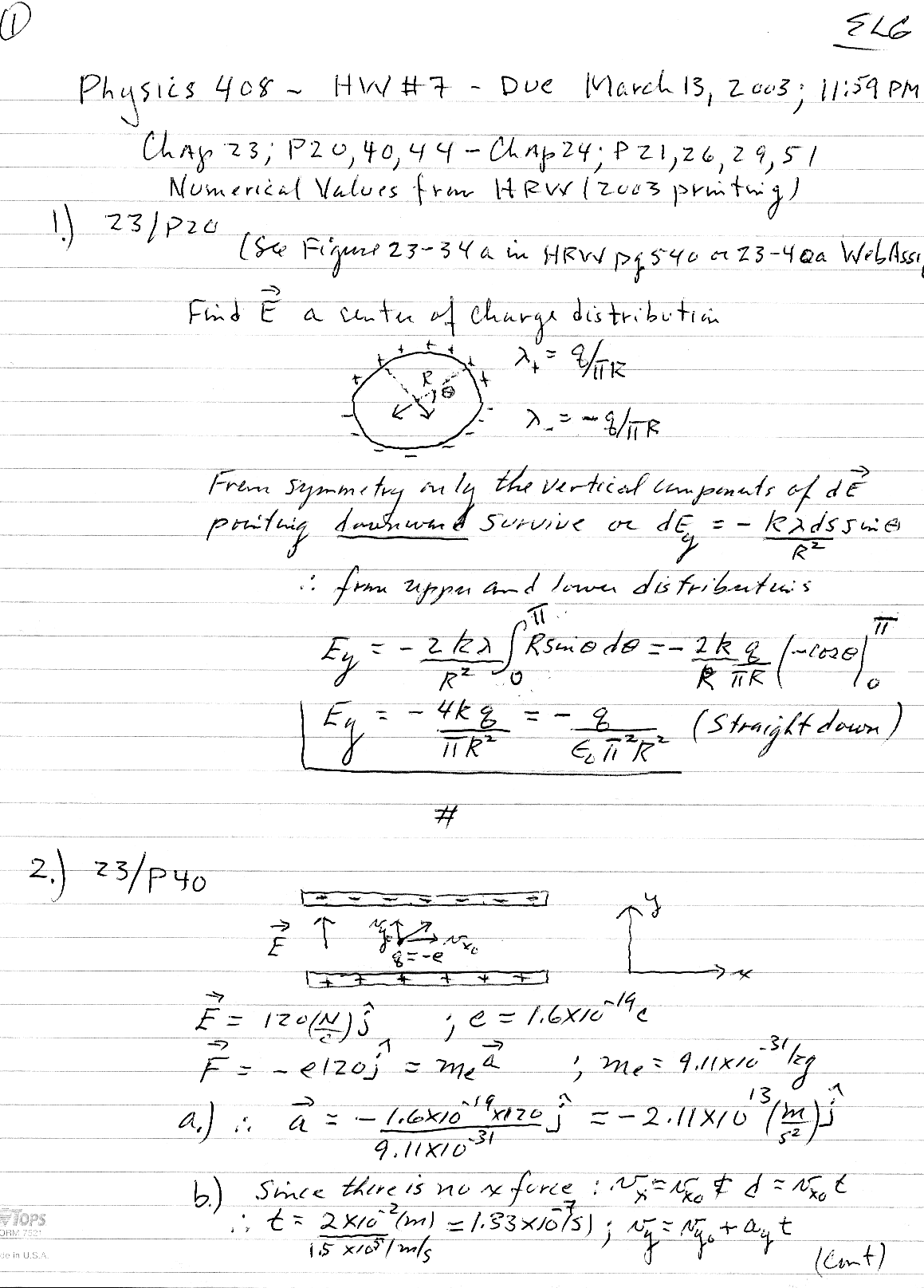
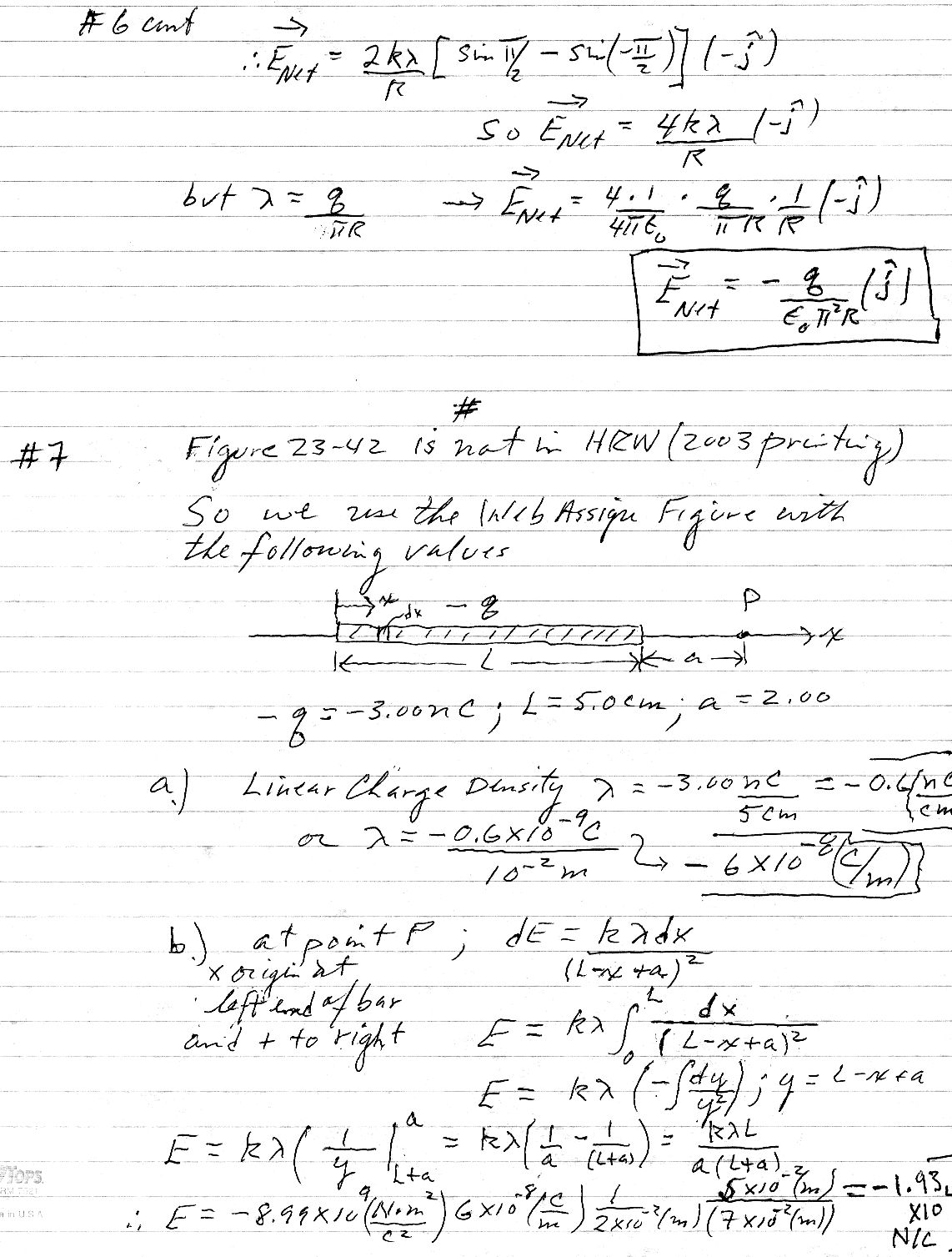
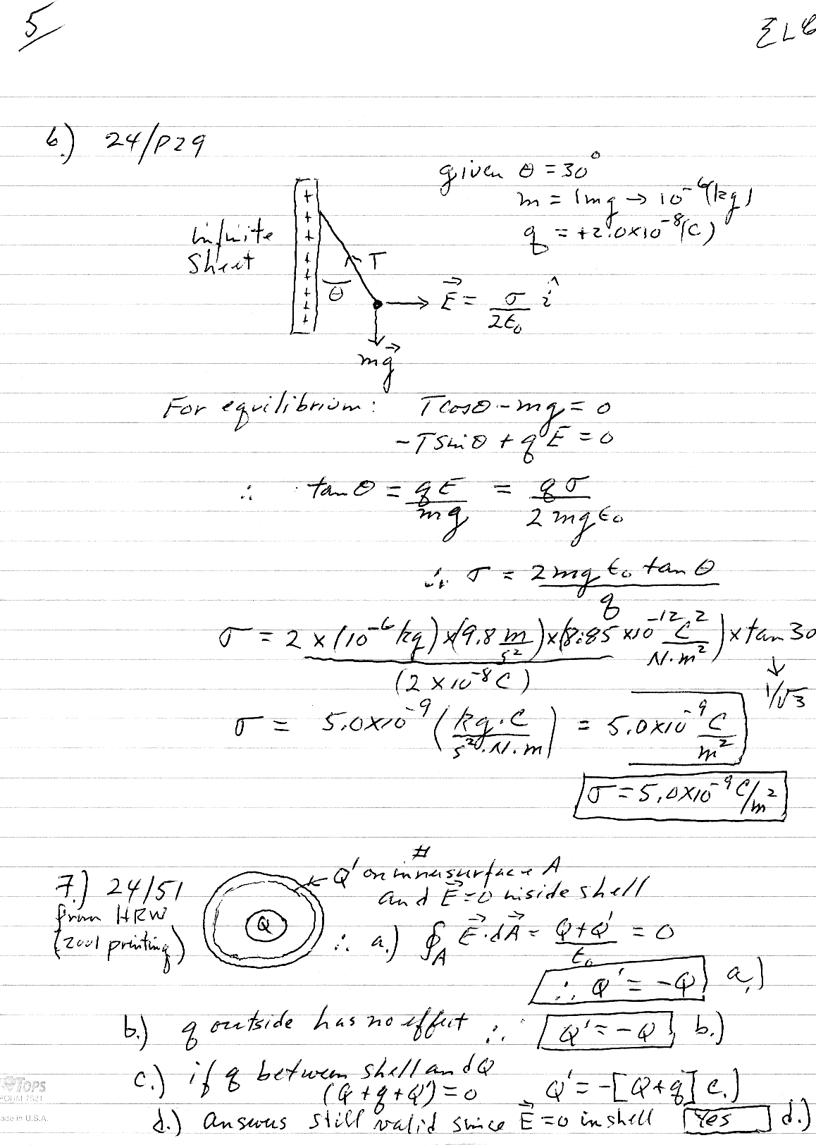
| 7 | March 13 | CH23, P 20,40,44 CH24 , P21,26,29,51 |
P1, P2, P3, P4, P5 | |
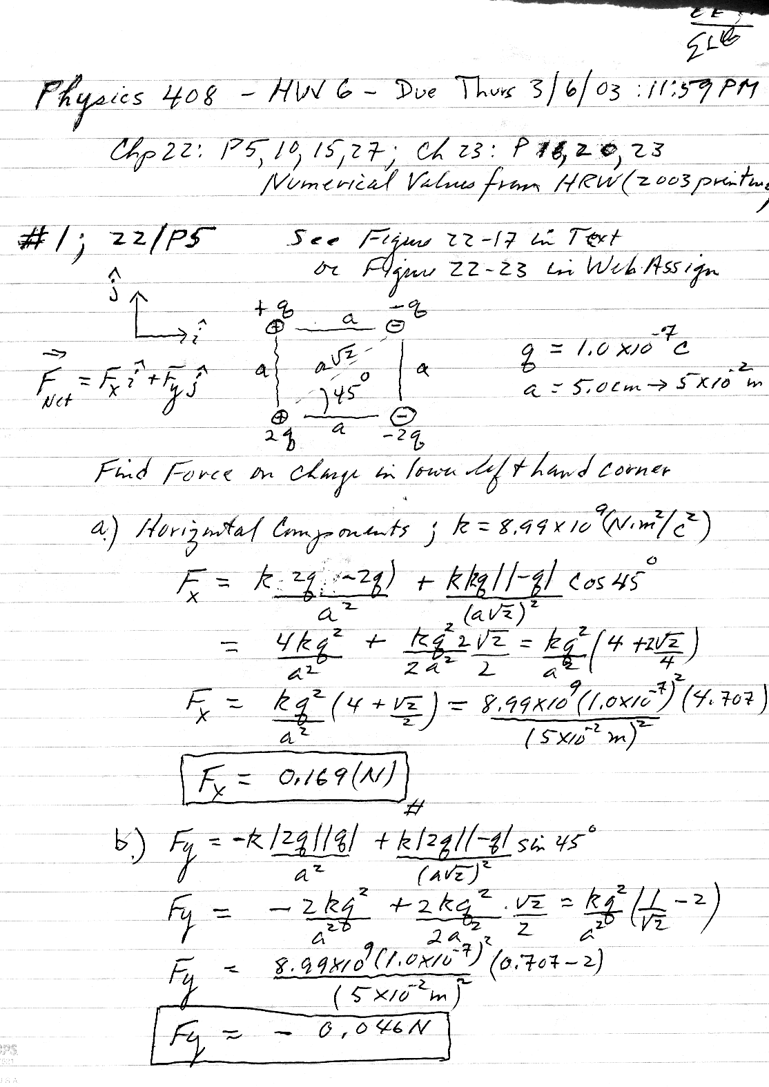
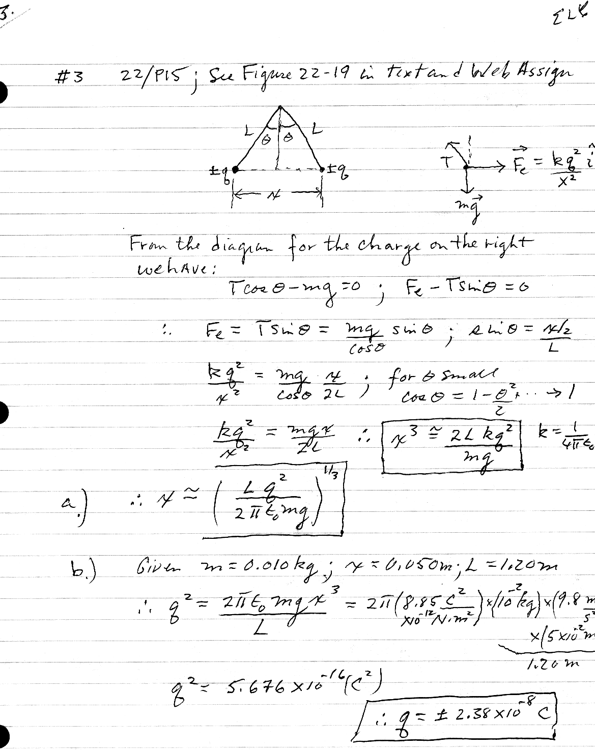
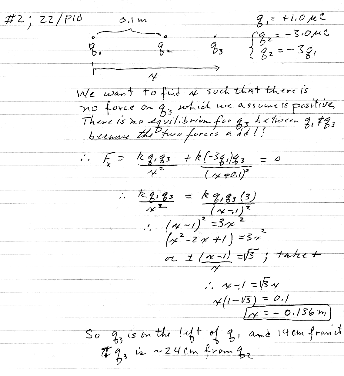
| 6 | March 6 | CH 22 P 5,10,15,27 CH 23 P 16,20 + WebAssign P34 |
Hand in problem 3a on paper in the homework box outside the main office. The last problem is not in your book, it is only on webassign. |
P1, P2, P3, P4, P5, P6 |
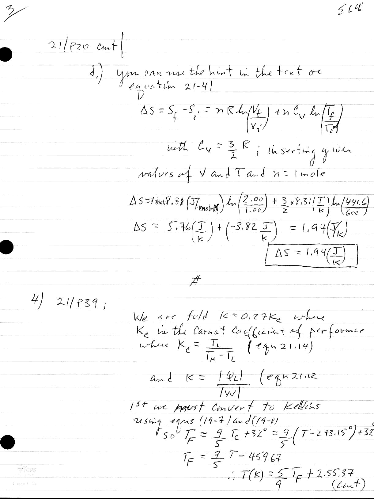
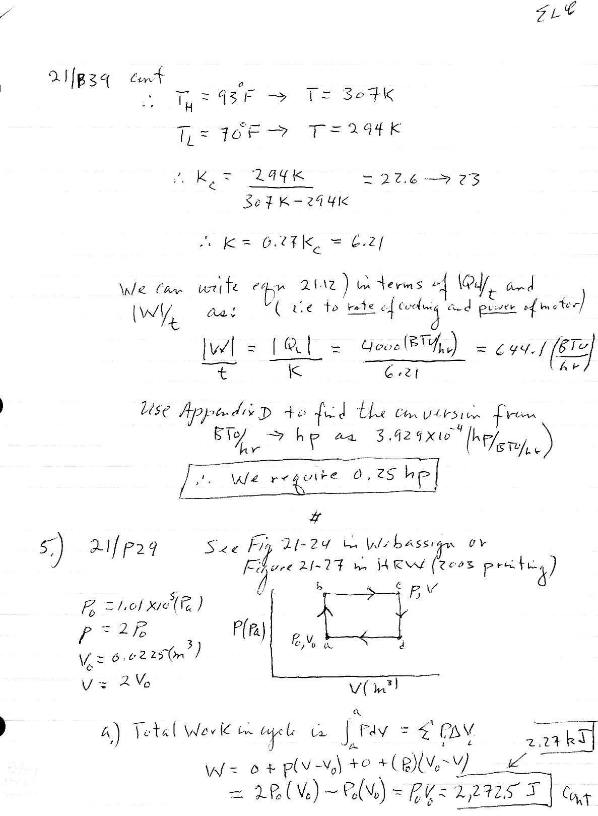
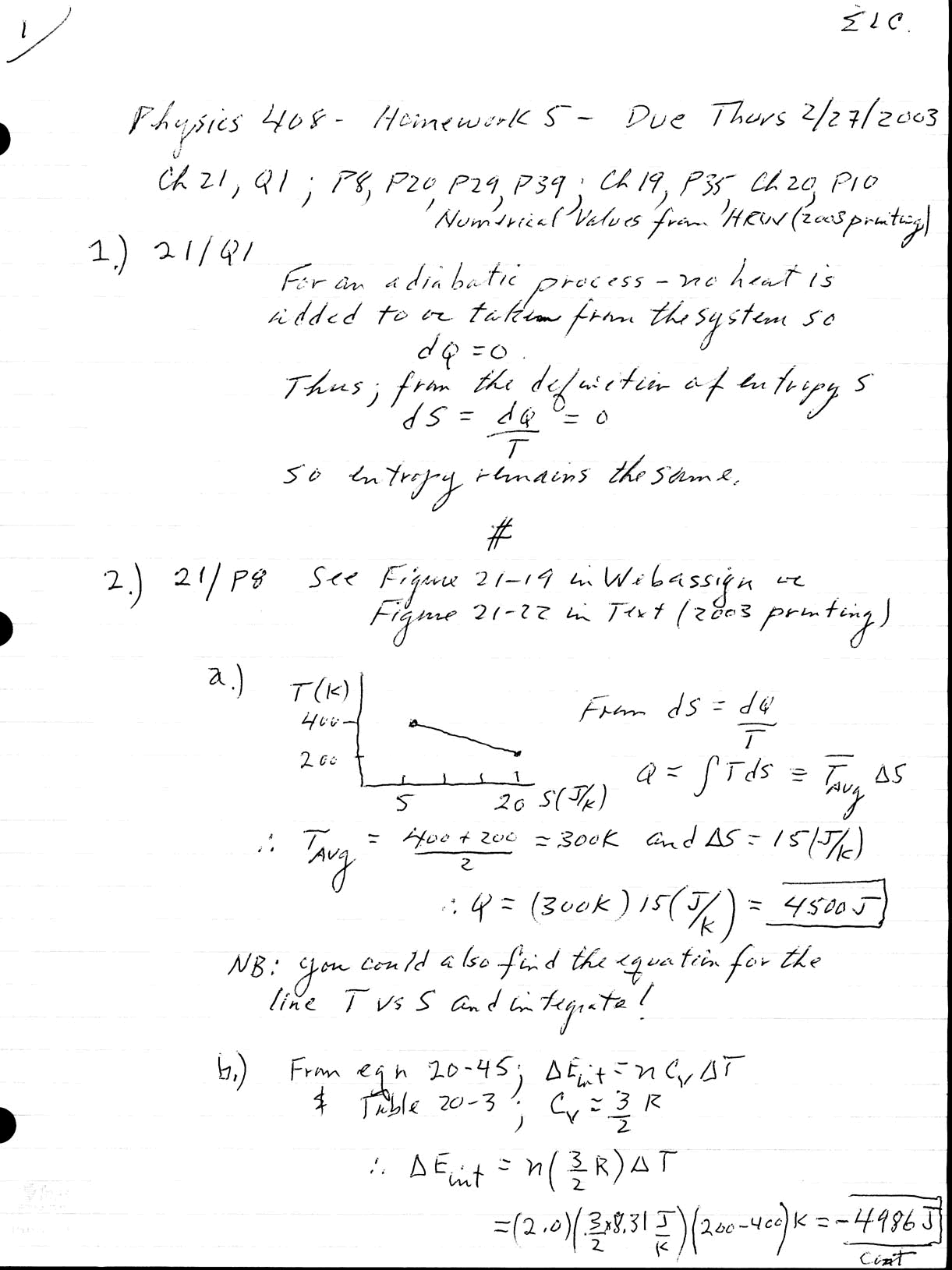
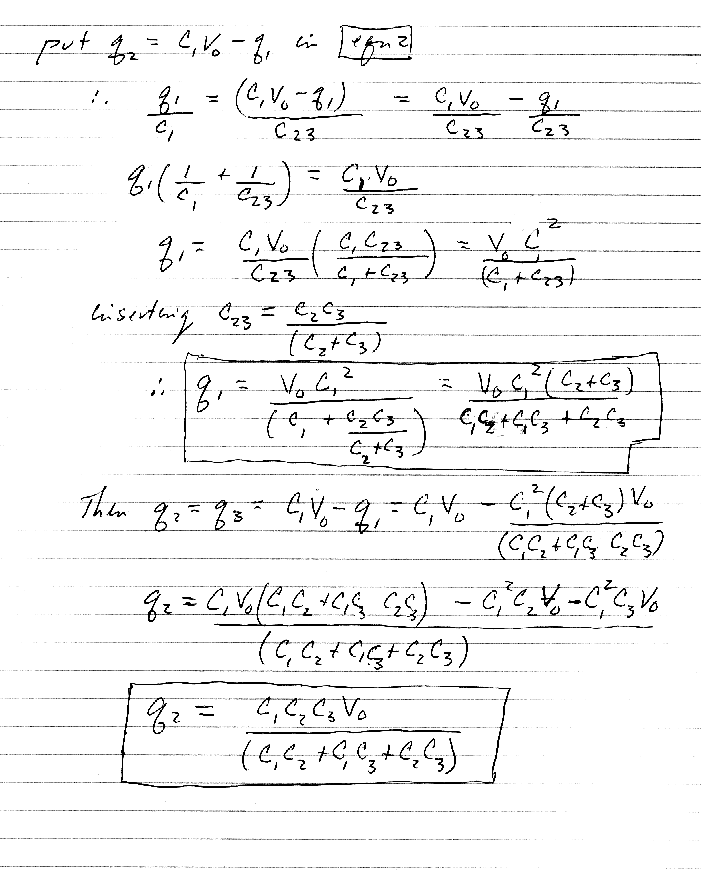
| 5 | Feb 27 | CH 21 CQ1, P 8,20,29,39 CH19 P35, CH 20 P10. | Last 2 problems are review problems. |
P1, P2, P3, P4, P5, P6 |
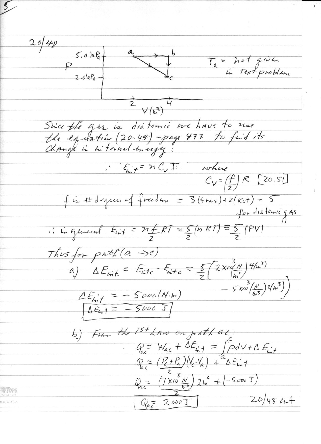
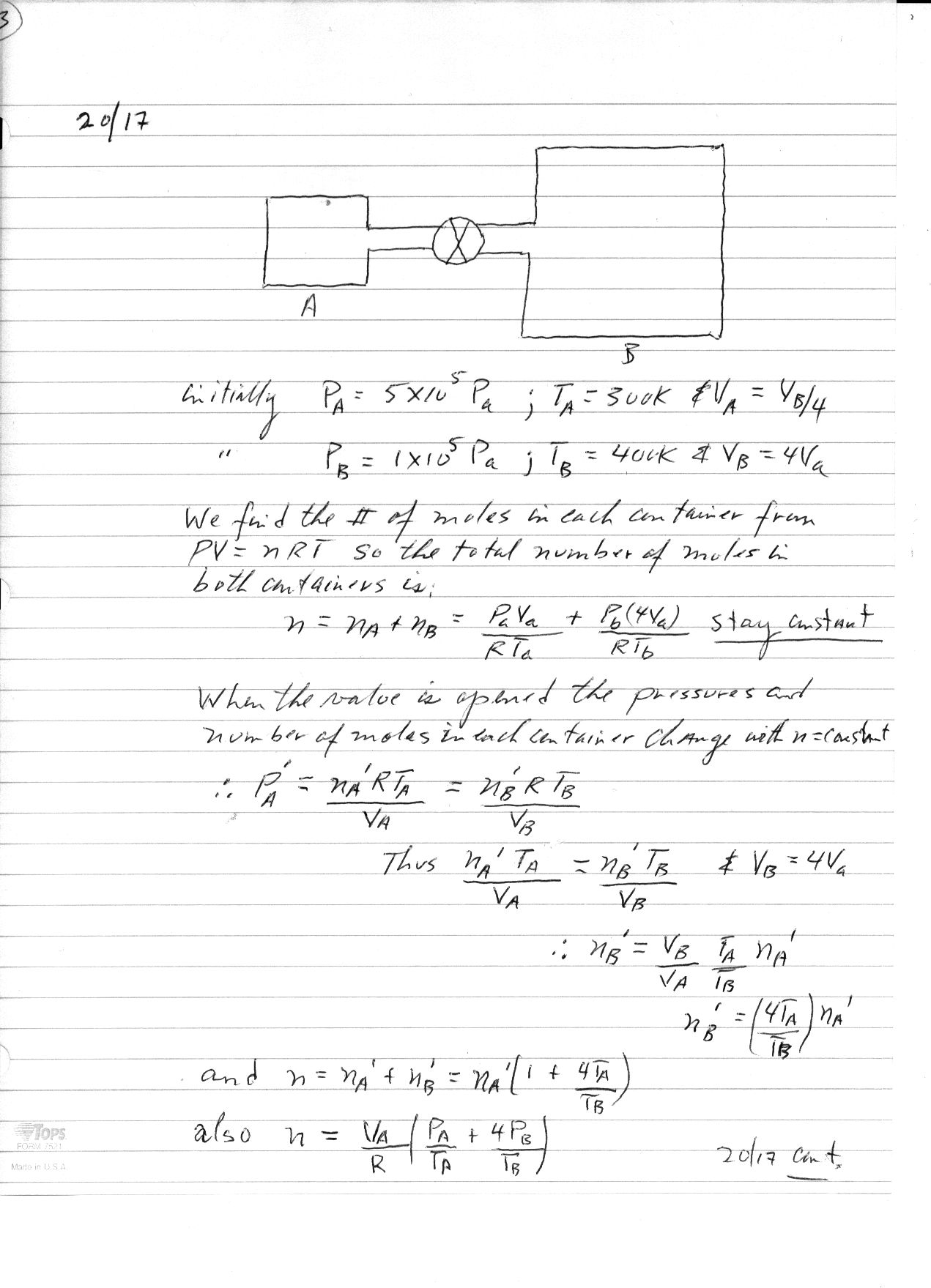
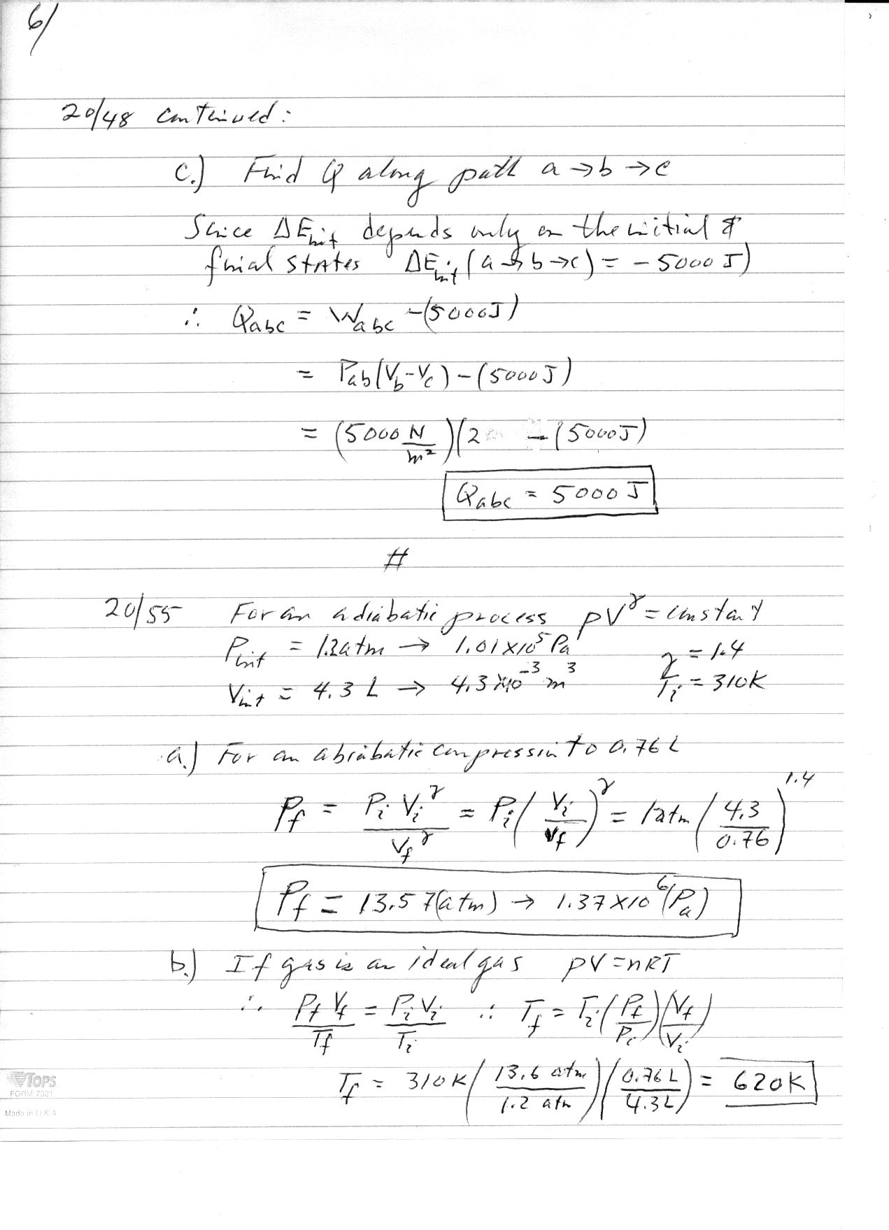
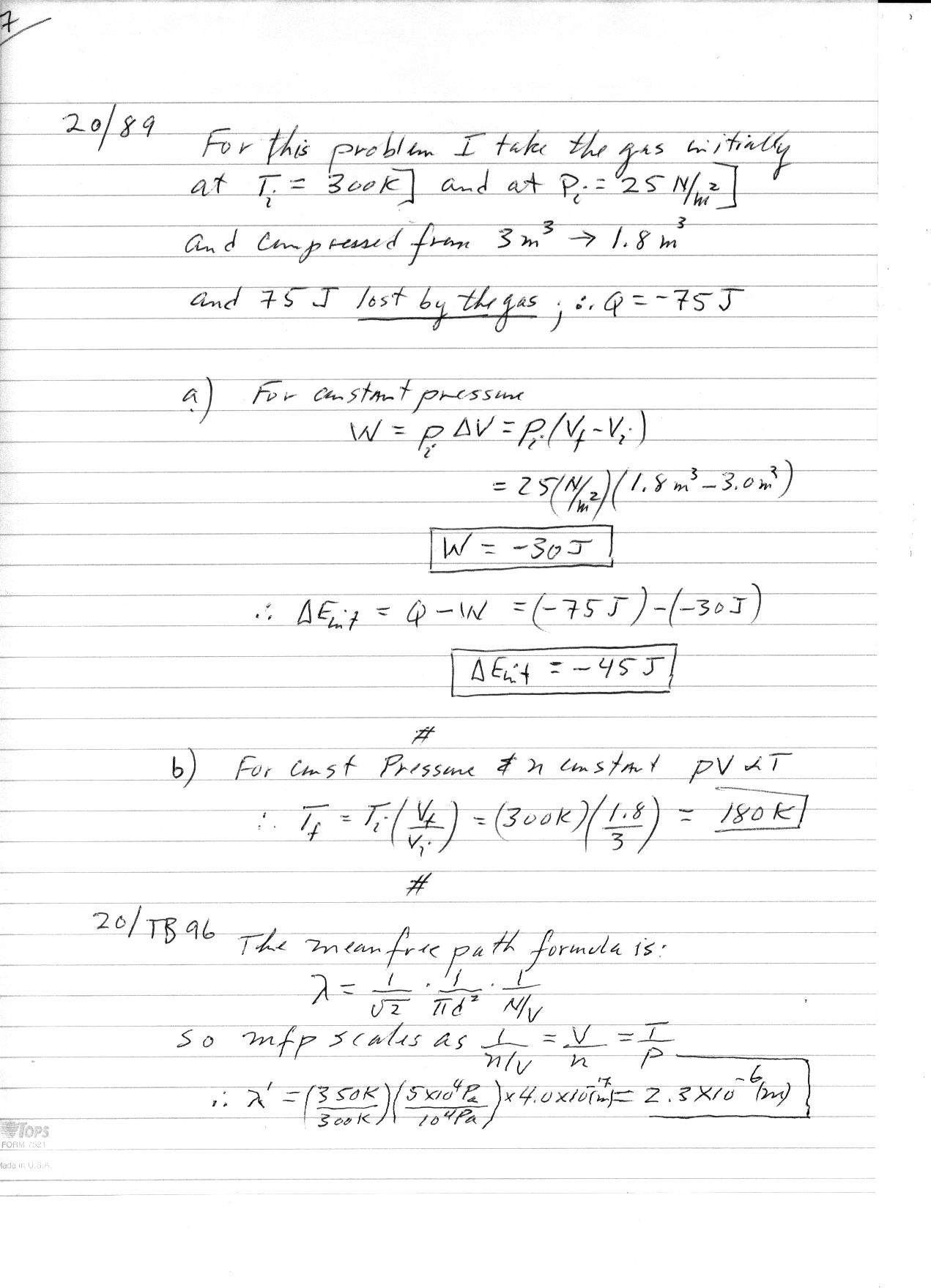
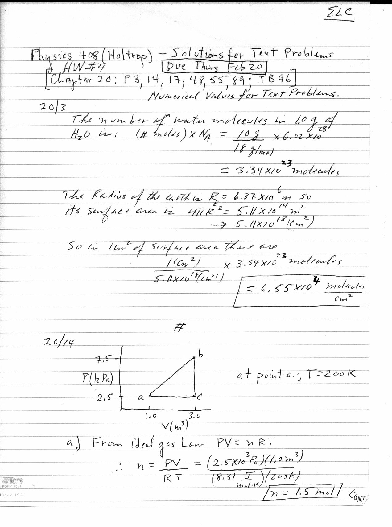
| 4 | Feb 20 | CH 20 P 3,14,17,45,48,55,89,TB96 | P1, P2, P3, P4, P5, P6, P7 | |
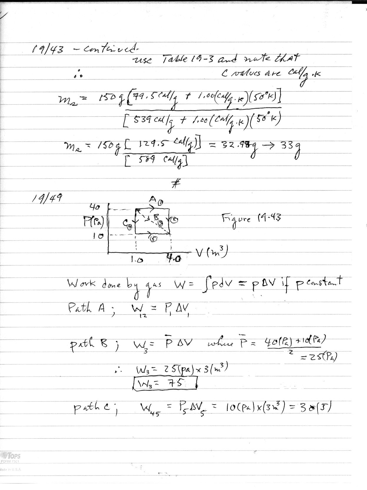
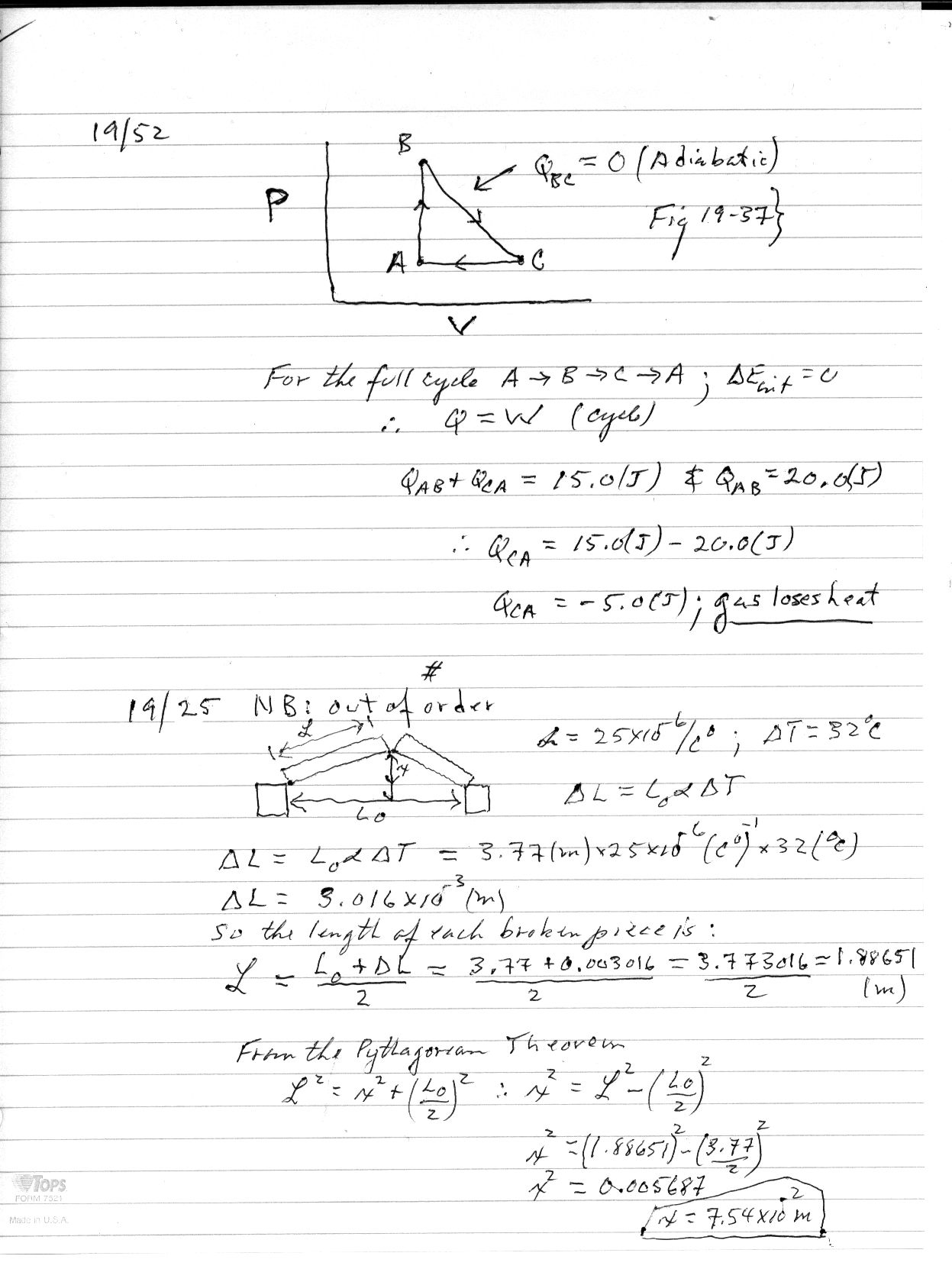
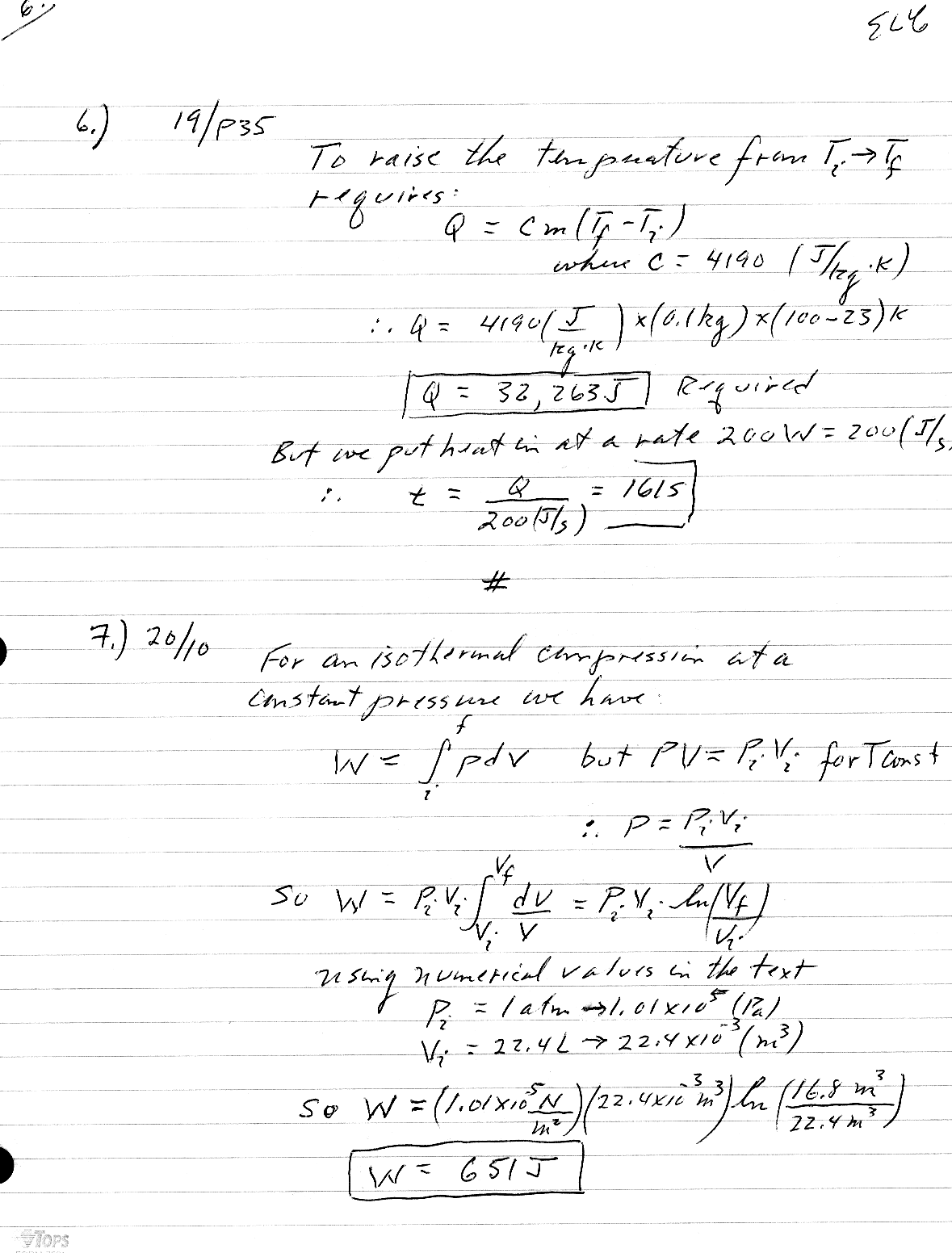
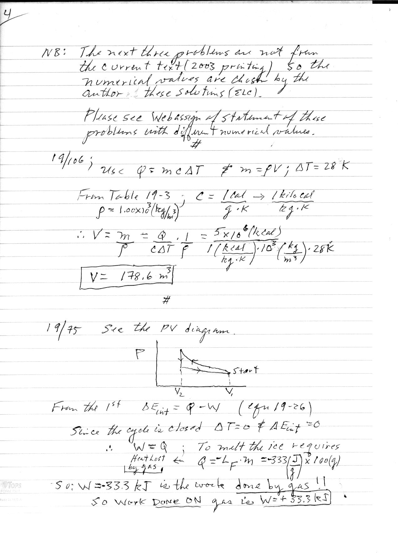
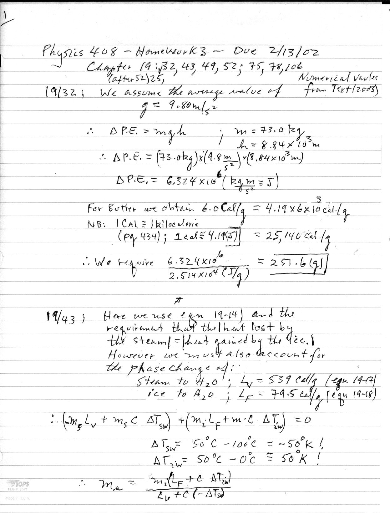
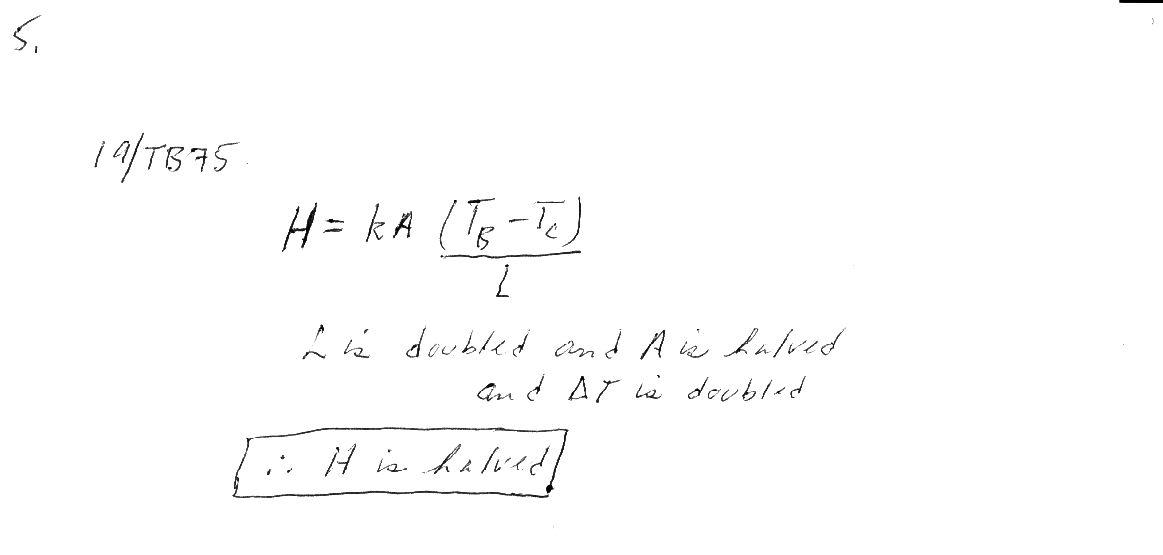
| 3 | Feb 13 | CH 19 P 25,32,43,49,52,106,75,TB75 | Last 3 problems are NOT in your book. | P1, P2, P3, P4, P5 |
| 2 | Feb 6 | CH 18 P 5,8,13,20,34,49 | none | P1,P2,P3,P4,P5 |
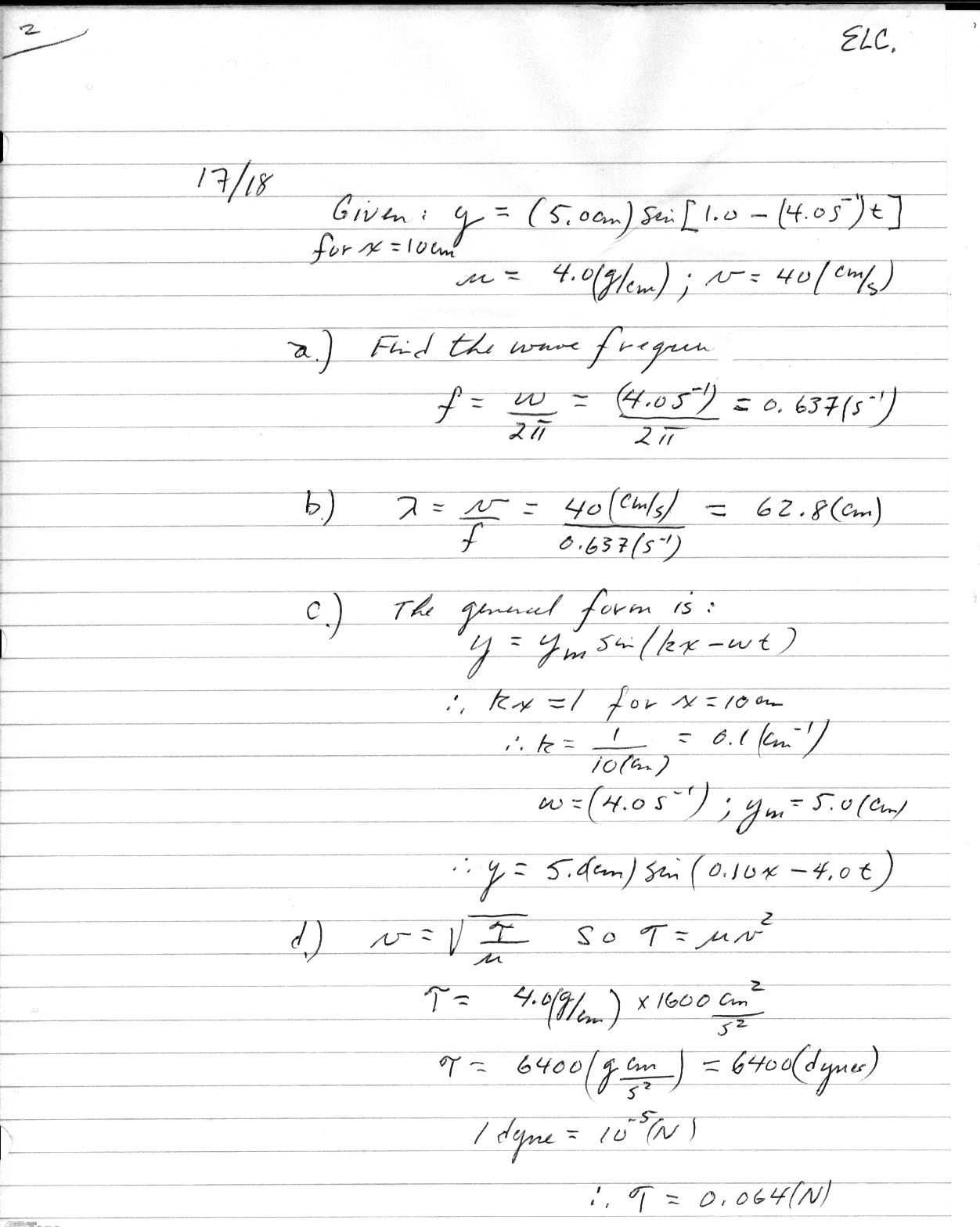
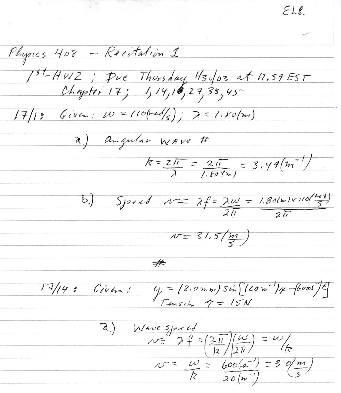
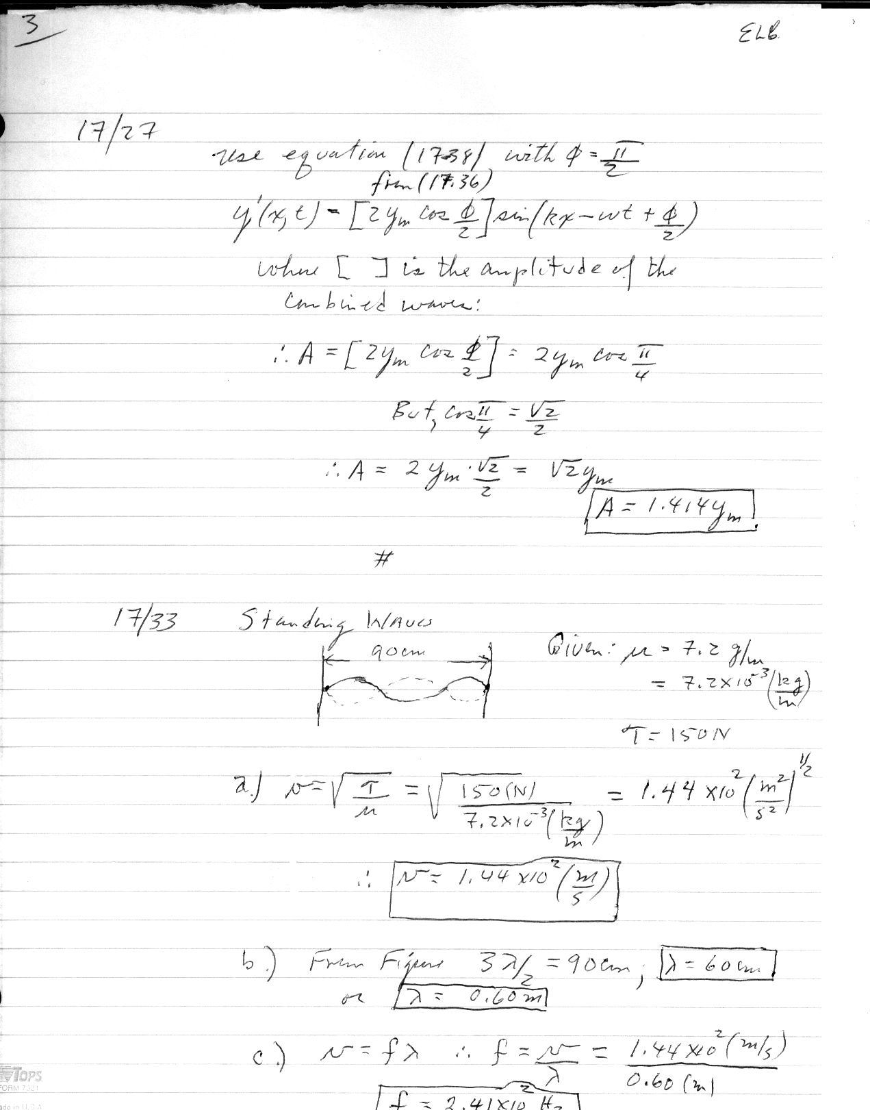
| 1 | Jan 30 | CH 17 P 1,14,18,27,33,45 | On WebAssign | P1,P2,P3,P4 |
Note: Solutions are kindly provided by Professor Ed Chupp, and then scanned in as 150 DPI JPEG.